jagomart
digital resources
picture 19 Scientific Paper Example Pdf Files | Download Free Collection Files

19 Scientific Paper Example Pdf Files | Download Free Collection Files


Posted on 22 Aug 2022 | 4 years ago
Download free scientific paper example pdf files.

.  473x 
 file set type 
Copy Link https://jagomart.net/item/59596/free-download-collection-files-scientific-paper-example-pdf
List of 19 Scientific Paper Example Pdf Files | Download Free Collection Files.
1. Research Pdf 51059 | Howtoreadscientificpaper
picture Research Pdf 51059 | Howtoreadscientificpaper
How to Read a Scientific Paper What is a scientific paper? .... 2  Scientific papers are peerreviewed......... 3 Anatomy of a scientific paper ...
Filetype : icon picture PDF | 2.07 MB | Free Download

 


2. Scientific Paper Example Pdf 55907 | Marb101
picture Scientific Paper Example Pdf 55907 | Marb101
Guidelines for Writing a Scientific Paper Scientific papers are the vehicle through which scientists report their work to the world. Their professional reputation is built on how these papers are received by the scientific community. No matter how good the ...
Filetype : icon picture PDF | 0.11 MB | Free Download

 


picture Scientific Paper Example Pdf 55276 | Newest Scientific Paper
How to aREAD Scientific Paper Main Menu How to Read a Scientific Paper Why? Why it’s important for you to read the literature. How? How to make reading scientific papers as painless as possible. Anatomy Everything you ever wanted ...
Filetype : icon picture PDF | 0.90 MB | Free Download

 


picture Research Pdf 55049 | Writing A Formal Research Paper In The Social Sciences
Writing a Formal Research Paper in the Social Sciences This handout provides guidelines for writing a formal research paper in the social sciences. Although it is a type of research paper, the process is not the same as writing a ...
Filetype : icon picture PDF | 0.22 MB | Free Download

 


picture Scientific Paper Example Pdf 50429 | Env Scientific Writing Policy Checklist
  1  SCIENTIFIC WRITING DEPARTMENT OF ENVIRONMENTAL SCIENCE AND ECOLOGY   The purpose of a scientific paper is to describe  and document an observational or experimental  study.  A scientific paper is typically divided into seven sections:  Title  ...
Filetype : icon picture PDF | 0.26 MB | Free Download

 


picture Research Pdf 52119 | Ijsrp Paper Submission Format Single Column
International Journal of Scientific and Research Publications 1 ISSN 2250-3153 Title for paper submitted to International Journal of Scientific and Research Publications First Author*, Second Author**, Third Author** * Department, Institute Name ** Department, Institute Name, if any Abstract- Mention ...
Filetype : icon picture PDF | 0.04 MB | Free Download

 


picture Scientific Paper Example Pdf 53042 | 9781510619142
How to Write a Good Scientific Paper Chris A. Mack SPIE Terms of Use: This SPIE eBook is DRM-free for your convenience. You may install this eBook on any device you own, but not post it publicly or transmit it ...
Filetype : icon picture PDF | 2.76 MB | Free Download

 


picture Human Resource Management Pdf 43847 | 328024489
View metadata, citation and similar papers at core.ac.uk brought to you by CORE provided by European Scientific Journal (European Scientific Institute) European Scientific Journal September 2014 /SPECIAL/ edition Vol.1 ISSN: 1857 – 7881 (Print) e - ISSN ...
Filetype : icon picture PDF | 0.30 MB | Free Download

 


picture Research Pdf 52195 | Ed491517
Writing a research paper Jaan Mikk Siauliai University, Lithuania Abstract The value of research and the career of a university lecturer depend heavily on the success in publishing scientific papers. This article reviews the guidelines for writing and submitting research ...
Filetype : icon picture PDF | 0.07 MB | Free Download

 


picture Commerce Pdf 54841 | 5dd50bb108583
Management Studies, Jan.-Feb. 2020, Vol. 8, No. 1, 20-26 D doi: 10.17265/2328-2185/2020.01.003 DAVID PUBLISHING E-Commerce and E-Technology Contribution in Engineering and Scientific Laboratories Equipments Contracts at Jordanian Universities Sayel M. Fayyad, Ghazi Almarahleh, Naser Kloub, Ahmad ...
Filetype : icon picture PDF | 0.30 MB | Free Download

 


picture Research Pdf 55635 | A17v38n44p04
ISSN 0798 1015 HOME Revista ESPACIOS ! INDICES ! A LOS AUTORES ! Vol. 38 (Nº 44) Ano 2017. Pag. 4 Scientific research standards and policies: scientific mobility in America Politicas y normas de investigacion cientifica: movilidad cientifica en America Roberto GARCIA VACACELA ...
Filetype : icon picture PDF | 0.53 MB | Free Download

 


picture Research Methodology Pdf 55894 | Mba Researchmethodology 1styear
MBA-I Semester Paper Code: MBAC 1005 Research Methodology Objectives To Enable The Students To Know About The Information Needs Of Management To Introduce The Concept Of Scientific Research And The Methods Of Conducting Scientific Enquiry And To Introduce The Statistical ...
Filetype : icon picture PDF | 1.72 MB | Free Download

 


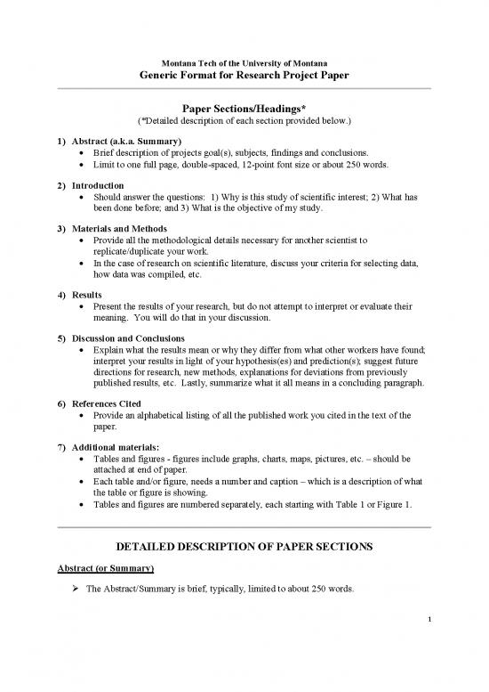
picture Research Pdf 52336 | Generic Format For Research Project Paper
Montana Tech of the University of Montana Generic Format for Research Project Paper Paper Sections/Headings* (*Detailed description of each section provided below.) 1) Abstract (a.k.a. Summary) • Brief description of projects goal(s), subjects, findings and conclusions. &bull ...
Filetype : icon picture PDF | 0.22 MB | Free Download

 


picture Commerce Pdf 52379 | Jrc98272
INSTITUTE FOR PROSPECTIVE TECHNOLOGICAL STUDIES DIGITAL ECONOMY WORKING PAPER 2015/09 The Macro-economic Impact of e-Commerce in the EU Digital Single Market Melisande Cardona Nestor Duch-Brown Joseph Francois Bertin Martens Fan Yang 2015 The Macro-economic Impact of e-Commerce in the EU ...
Filetype : icon picture PDF | 1.49 MB | Free Download

 


picture Journal Articles Pdf 53341 | Imrad Info
Preparing the Four Main Parts of a Scientific Paper: Concise Advice This resource consists of the posts in the four-part series "IMRAD Info", which appeared in the AuthorAID blog in December 2016. This series, by Barbara Gastel ...
Filetype : icon picture PDF | 0.05 MB | Free Download

 


picture Scientific Paper Example Pdf 54788 | Isc Physics
PHYSICS (861) Aims: 1. To enable candidates to acquire knowledge and 4. To develop skills in - to develop an understanding of the terms, facts, (a) the practical aspects of handling apparatus, concepts, definitions, fundamental laws, recording observations and principles ...
Filetype : icon picture PDF | 0.24 MB | Free Download

 


picture Research Pdf 55934 | En Gestapinf03 Integration
GEF/STAP/C.54/Inf.03 June 8, 2018 54th GEF Council Meeting June 24 – 26, 2018 Da Nang, Viet Nam INTEGRATION: TO SOLVE COMPLEX ENVIRONMENTAL PROBLEMS 1 Integration: to solve complex environmental problems A STAP document June 2018 SCIENTIFIC AND TECHNICAL ...
Filetype : icon picture PDF | 2.89 MB | Free Download

 


picture Research Pdf 56012 | Environment
wuppertal institute on globalisation Wolfgang Sachs Environment and Human Rights Publisher: Wuppertal Institute for Climate, Environment, Energy Doppersberg 19 42103 Wuppertal Author: Wolfgang Sachs, Working Group New Models of Wealth wolfgang.sachs@wupperinst.org o This paper is also published as ...
Filetype : icon picture PDF | 1.32 MB | Free Download

 


picture Scientific Paper Example Pdf 56023 | Im11 Item Download 2022-08-21 22-03-13
IM Syllabus (2021) : Environmental Science IM SYLLABUS (2021) ENVIRONMENTAL SCIENCE IM 11 SYLLABUS 1 IM 11 Environmental Science Syllabus Addendum Mitigating factors for 2021 MATSEC Examinations Session Changes in Subject Content The following content will not be assessed: Unit ...
Filetype : icon picture PDF | 1.08 MB | Free Download

 


belum ada komentar
Please Login to post comment.

no reviews yet
Please Login to review.

Category: Literatur / Literatur
Upload at: 22 Aug 2022 | 4 years ago
Tags: 0
views: 473x
Link recommended: filekonstruksi.com