jagomart
digital resources
picture1_19 Purchase Order Agreement Template Files | Download Free Collection Files

19 Purchase Order Agreement Template Files | Download Free Collection Files


Posted on 15 Feb 2023 | 3 years ago
Download free purchase order agreement template files.

.  365x 
 file set type 
Copy Link https://jagomart.net/item/210431/free-download-collection-files-purchase-order-agreement-template
List of 19 Purchase Order Agreement Template Files | Download Free Collection Files.
1. Agreement Contract Sample 203243 | Attachment 3 Master Purchase Agreement Template
picture Agreement Contract Sample 203243 | Attachment 3   Master Purchase Agreement Template
MASTER PURCHASE AGREEMENT Contract No. _______ THIS MASTER PURCHASE AGREEMENT (the “Agreement”) entered into as of __________ by and between MERCY CORPS, a State of Washington, U.S.A. nonprofit corporation having its principal office in Portland, Oregon ...
Filetype : icon picture PDF | 0.40 MB | Free Download

 


2. Agreement Sample 155244 | Takeda Tandc Apr15 2016
picture Agreement Sample 155244 | Takeda Tandc Apr15 2016
TAKEDA PHARMACEUTICAL COMPANY LIMITED TERMS AND CONDITIONS 15 APRIL 2016 1. PURPOSE AND SCOPE. These terms and conditions (“Terms and Conditions”) apply to all commercial transactions for the purchase of goods and/or services by Takeda Pharmaceutical Company Limited ...
Filetype : icon picture PDF | 0.32 MB | Free Download

 


picture Invoice Template Word 30630 | Merz Aesthetics Device Terms And Conditions Of Purchase And Use 07 26 20
TERMS AND CONDITIONS OF PURCHASE AND USE - ULTHERA® AND CELLFINA® Agreement: Customer’s sales agreement cover page, these Terms and Conditions of Purchase and Use, the limited warranty(ies) applicable to purchase of the Ulthera System and/or Cellfina System, and ...
Filetype : icon picture DOCX - Word | 0.07 MB | Free Download

 


picture Agreement Sample 204523 | Assignment Agreement
1 ASSIGNMENT AGREEMENT TO: [insert legal name of Vendor] (“Vendor”) AND TO: [insert legal name of Assignee] (“Assignee”) Re: Assignment (“Assignment”) of the [insert name of agreement] Agreement dated 2 as of [insert date] ...
Filetype : icon picture PDF | 0.06 MB | Free Download

 


picture Agreement Contract Sample 202081 | Std Terms And Conditions For The Supply Of Goods And Services
STANDARD TERMS AND CONDITIONS FOR THE SUPPLY OF GOODS AND SERVICES 1. INTRODUCTION 1.1. The terms and conditions of purchase and sale set out herein ("Terms and Conditions") shall apply to all contracts for the ...
Filetype : icon picture PDF | 0.17 MB | Free Download

 


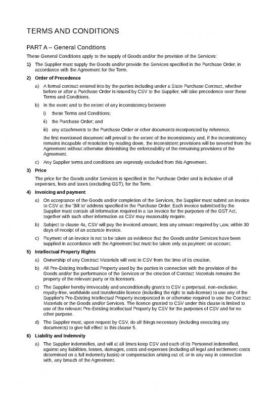
picture Agreement Contract Sample 30541 | Purchaseordertermsandconditions
TERMS AND CONDITIONS PART A – General Conditions These General Conditions apply to the supply of Goods and/or the provision of the Services: 1) The Supplier must supply the Goods and/or provide the Services specified in the Purchase Order, in ...
Filetype : icon picture DOCX - Word | 0.03 MB | Free Download

 


picture Business Sale Agreement Template Free 206593 | Tc Asia
TERMS OF SALE AND SOFTWARE LICENSE AGREEMENT-ASIA TERMS OF SALE AND SOFTWARE LICENSE AGREEMENT These Terms of Sale and Software License Agreement (“Terms of Sale”) are entered into by and between the Cisco entity described in the following ...
Filetype : icon picture PDF | 0.33 MB | Free Download

 


picture Agreement Sample 202426 | Ol Apac Ap 0
APPLE PURCHASE AGREEMENT PURCHASE ORDER TERMS AND CONDITIONS THIS PURCHASE AGREEMENT (the "Agreement") sets forth the terms and conditions that apply to all purchases of goods and services by Apple from Seller by means of a ...
Filetype : icon picture PDF | 0.12 MB | Free Download

 


picture Agreement Sample 203335 | Supplier Agreement Goods And Services Nrg Systems 08 2020
SUPPLIER AGREEMENT - GOODS AND SERVICES Agreement #: Effective Date: Expiration Date: BUYER: NRG Systems(and all NRG Systems subsidiaries and affiliates, hereinafter "Buyer" or "NRG Systems"). 110 Riggs Road Hinesburg, VT 05461 USA ...
Filetype : icon picture PDF | 0.30 MB | Free Download

 


picture Agreement Sample 202445 | Master Service Agreement (avepoint Singapore Pt Lt)
Master Service Agreement This Master Service Agreement (the “Service Agreement”) is made by and between AvePoint Singapore Pte. Ltd., with offices at 10 Collyer Quay, #17 – 01/04 Ocean Financial Centre, Singapore, (“AvePoint”), and the company ...
Filetype : icon picture PDF | 0.16 MB | Free Download

 


picture Agreement Contract Sample 203477 | Contracttemplatesprocedures
Office of the Controller, Procurement Services Contract Templates – Procedures The contract templates outlined below should be used for all service and performance purchases when a written agreement with the supplier, outlining specific details about the services being purchased is ...
Filetype : icon picture PDF | 0.24 MB | Free Download

 


picture Agreement Form Pdf 206722 | General Conditions Applicable To Purchase Orders 0
GENERAL CONDITIONS OF THE CONTRACT ARTICLE 1 – SCOPE OF APPLICATION, DEFINITIONS, RELATION TO PURCHASE ORDER 1.1. These General Conditions are applicable to contracts on supply of goods, services, and works, ordered by the GSA via purchase orders. 1 ...
Filetype : icon picture PDF | 0.80 MB | Free Download

 


picture Account Template Excel Free Download 31284 | Standardinvoice
Invoice No Invoice Date INVOICE Customer Remit To Name Address WESTERN KENTUCKY UNVIERSITY 1906 COLLEGE HEIGHTS BLVD BOWLING GREEN KY 42101 PURCHASE ACCOUNT INVOICE ORDER NUMBER DUE DATE PAYMENT TERMS NUMBER ITEM # Description TOTAL Subtotal $000 Additional Charges TOTAL ...
Filetype : icon picture XLS - Excel | 0.05 MB | Free Download

 


picture Free Purchase Agreement 206091 | Kg Wholesale Terms
KG HOUSE OF FASHION WHOLESALE AGREEMENT Last Revised: June ____, 2020 Welcome to KG’s House of Fashion LLC (“KGHOF,” “Us,” “Our,” and/or “We”). We are excited that you are here! The ...
Filetype : icon picture PDF | 0.16 MB | Free Download

 


picture Agreement Contract Sample 202174 | Novation Contract Agreement Amendment Form 2019
NOVATION AGREEMENT The (insert Contractor's name) (Transferor), a corporation duly organized and existing under the laws of (insert state) with its principal office in (insert city); and (insert new contractor's name) (Transferee), a corporation duly organized and existing ...
Filetype : icon picture PDF | 0.17 MB | Free Download

 


picture Agreement Sample 204072 | Fcc Subcontractorscontract Prevailing Wage
SUBCONTRACTOR AGREEMENT (PREVAILING WAGE - STIPULATED SUM) The terms and conditions set forth herein are entered into and agreed by and between Frankoski Construction and Subcontractor to establish the terms and conditions under which Subcontractor will perform work on the ...
Filetype : icon picture PDF | 0.26 MB | Free Download

 


picture Agreement Form 204225 | Master Reseller Agreement
MASTER RESELLER AGREEMENT This Master Reseller Agreement (the “Agreement”) is between DigiCert, Inc. (“DigiCert”) and the entity or business reselling Services (“Reseller”). By executing an Addendum that references this Agreement, by electronically accepting this ...
Filetype : icon picture PDF | 0.19 MB | Free Download

 


picture Agreement Contract Sample 202520 | Msa 2013 Csog
MASTER SERVICE AGREEMENT This Agreement (“Agreement”) is between Capital Star Oil & Gas, Inc. (“Company”), and __________________________________________________ (“Contractor”). THE PARTIES HERETO AGREE THAT THIS MASTER SERVICE AGREEMENT SHALL CONTROL AND DICTATE EACH AND ...
Filetype : icon picture PDF | 0.25 MB | Free Download

 


picture Agreement Contract Sample 202675 | Supplieragreementmarch2013
Supply Agreement Supplier Name Supply Agreement No. Date Supplier Address Telephone Fax Email 1.0 DEFINITIONS 1.1 Supplier means the person, corporation or other legal entity of any tier and its legal representatives, authorized agents, successors and assignees which ...
Filetype : icon picture PDF | 0.14 MB | Free Download

 


belum ada komentar
Please Login to post comment.

no reviews yet
Please Login to review.

Category: Standard Format / Pdf Format
Upload at: 15 Feb 2023 | 3 years ago
Tags: 0
views: 365x
Link recommended: filekonstruksi.com