jagomart
digital resources
picture 16 Educational Supervision Pdf Files | Download Free Collection Files

16 Educational Supervision Pdf Files | Download Free Collection Files


Posted on 02 Oct 2022 | 4 years ago
Download free educational supervision pdf files.

.  568x 
 file set type 
Copy Link https://jagomart.net/item/116796/free-download-collection-files-educational-supervision-pdf
List of 16 Educational Supervision Pdf Files | Download Free Collection Files.
1. Educational Supervision Pdf 114101 | Ej1250310
picture Educational Supervision Pdf 114101 | Ej1250310
Journal of EJournal of Educational ducational SuperSupervision vision Volume 2 Issue 2 Article 2 2019 EEducational ducational SuperSupervision: Reflections vision: Reflections on Its Pon Its Past, Prast, Present, and esent, and FFuturuture e Stephen P. Gordon Texas State University, SteveGordon@txstate.edu Follow this and additional works at: https://digitalcommons.library.umaine ...
Filetype : icon picture PDF | 0.48 MB | Free Download

 


2. Educational Supervision Pdf 113987 | 5286871
picture Educational Supervision Pdf 113987 | 5286871
Educational Process: International Journal ISSN 2147– 0901 (Print) Journal homepage: www.edupij.com EDUCATIONAL PROCESS: INTERNATIONAL JOURNAL EDUPIJ / VOLUME 4 / ISSUE 1-2 / SPRING-SUMMER~FALL-WINTER / 2015 A Situational Analysis of Educational Supervision in the Turkish Educational System Tuncay Yavuz Ozdemir and Ramazan Yirci To cite this article: Ozdemir ...
Filetype : icon picture PDF | 0.90 MB | Free Download

 


picture Education Pdf 112036 | Dedu503 Educational Management English
Educational Management DEDU503 Edited by: Dr. Kulwinder Pal EDUCATIONAL MANAGEMENT Edited By Dr. Kulwinder Pal Printed by USI PUBLICATIONS 2/31, Nehru Enclave, Kalkaji Ext., New Delhi-110019 for Lovely Professional University Phagwara SYLLABUS Educational Management Objectives: To enable the learners to (1) become effective manager of teaching /administration of education. (2) ...
Filetype : icon picture PDF | 2.93 MB | Free Download

 


picture Education Pdf 109360 | References
References for Teaching Couple and Family Therapy/Psychology The following list is subdivided into references that are specific to training and supervision of CFT, textbooks, and references that address various areas important to CFT training (e.g., competencies, ethics, diversity, specific populations, etc.). The reference list provided here is not ...
Filetype : icon picture PDF | 0.16 MB | Free Download

 


picture Education Pdf 113575 | The Role Of The Educational Psychologist
The Role of Educational Psychology Why educational psychology? We are experts in helping people solve complex, persistent problems that interfere with a young person’s learning. Educational psychologists have a minimum of six years’ university education. All educational psychologists have at least a Master’s degree, and most have additional ...
Filetype : icon picture PDF | 0.13 MB | Free Download

 


picture Education Pdf 113592 | Epsworkwithchildrenandyoungpeople
Educational Psychology Service Educational Psychology Service (EP) work with children and young people (CYP) to support their development, wellbeing, resilience, learning and achievement. They are person-centred in their approach, working with others to help to achieve best possible outcomes for CYP. The focus of an EP’s work is to ...
Filetype : icon picture PDF | 0.50 MB | Free Download

 


picture Education Pdf 112730 | Silabus Pengelolaan Pendidikan  English
Course Hand Out On Foundations Of Education 2009 COURSE UNITS AND HAND-OUT COURSE: EDUCATIONAL MANAGEMENT BY A Team of Lecturers of Educational Management Course DEPARTMENT OF EDUCATIONAL ADMINISTRATION FACULTY OF EDUCATION INDONESIA UNIVERSITY OF EDUCATION COURSE UNITS AND HAND-OUT COURSE: EDUCATIONAL MANAGEMENT Programme (Course) Content Meeting Main Discussion Page 1 ...
Filetype : icon picture PDF | 0.22 MB | Free Download

 


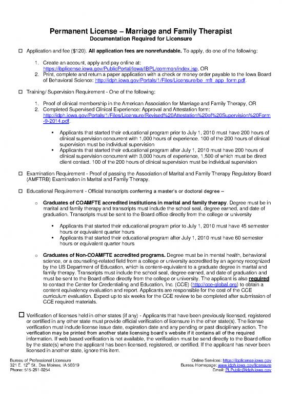
picture Educational Supervision Pdf 109268 | Mft Permanent
Permanent License – Marriage and Family Therapist Documentation Required for Licensure Application and fee ($120). All application fees are nonrefundable. To apply, do one of the following: 1. Create an account, apply and pay online at: https://ibplicense.iowa.gov/PublicPortal/Iowa/IBPL/common/index.jsp, OR 2. Print, complete and return a paper application with ...
Filetype : icon picture PDF | 0.33 MB | Free Download

 


picture Research Pdf 45421 | 263 November 1695
JASC: Journal of Applied Science and Computations ISSN NO: 1076-5131 THE ROLE OF HUMAN RESOURCE MANAGEMENT IN EDUCATIONAL ORGANISATION P. NAGESH Research Scholar, S.J.J.T. University, Rajasthan. ABSTRACT Today, Human Resource Management (HRM) practices are considered a crucial and considerable contributory factor in the performance of all organizations ...
Filetype : icon picture PDF | 0.18 MB | Free Download

 


picture Intp Pdf 96106 | Intp Item Download 2022-09-20 05-16-12
Interpreting (INTP) 1 INTP 4002 Pre-Internship Seminar — 2 credits INTERPRETING (INTP) This course will help prepare ASL/English Interpreting majors for internship, which is completed the following semester during J-term and INTP 2020 Introduction to the Interpreting Profession — 2 credits spring semester. The two major components of internship include ...
Filetype : icon picture PDF | 0.06 MB | Free Download

 


picture Educational Supervision Pdf 99849 | Archive Urdu
LIST OF NCERT TEXTBOOKS (IN URDU) AVAILABLE IN “TEXTBOOK ARCHIVE OF LIBRARY AND DOCUMENTATION DIVISION (LDD)”* LIBRARY AND DOCUMENTATION DIVISION NATIONAL COUNCIL OF EDUCATIONAL RESEARCH AND TRAINING SRI AUROBINDO MARG, NEW DELHI-110016 This List is Developed Under Supervision of Dr. (Mrs.) Moorttimatee Samantaray (Programme Co-ordinator) By Mr ...
Filetype : icon picture PDF | 0.41 MB | Free Download

 


picture Hindi Learning Pdf 99973 | Synopsis
TRANSLITERATION BETWEEN ENGLISH AND OTHER INDIAN LANGUAGES: A MACHINE LEARNING BASED APPROACH A Synopsis of the proposed thesis to be submitted for the degree of DOCTOR OF PHILOSOPHY in COMPUTER SCIENCE Submitted by Radha Mogla Under the supervision of Dr. C.Vasantha Lakshmi Prof. Niladri Chatterjee Supervisor Co-supervisor Associate Professor ...
Filetype : icon picture PDF | 0.26 MB | Free Download

 


picture Educational Supervision Pdf 111522 | Rebt Depression
REBT Depression Manual/Protocol – BBU, David et al., (2004) 1 Managing Depression Using Rational Emotive Behavior Therapy (REBT) To be Used Free for Research, Educational, and Training Purposes Acknowledgements: This REBT manual/protocol for depression is based on the rational-emotive & cognitive-behavioral therapy (REBT/CBT) manuals, elaborated at Mount Sinai School ...
Filetype : icon picture PDF | 0.19 MB | Free Download

 


picture Education Pdf 112495 | Inclusivity Vis A Vis Nep 2020
PRO BONO AND LEGAL AID CLINIC ON EDUCATION & LEGAL SERVICES COMMITTEE Inclusivity vis-a-vis National Education Policy 2020 i PRO BONO AND LEGAL AID CLINIC ON EDUCATION & LEGAL SERVICES COMMITTEE LIST OF CONTRIBUTORS PUBLISHED BY National Law University, Delhi Press Sector 14, Dwarka New Delhi 110078 Published ...
Filetype : icon picture PDF | 0.92 MB | Free Download

 


picture Education Pdf 113805 | The Himachal Pradesh Secondary Education Code
GOVERNMENT OF HIMACHAL PRADESH THE HIMACHAL PRADESH SECONDARY EDUCATION CODE (C) DEPARTMENT OF HIGHER EDUCATION HIMACHAL PRADESH Also available on departmental website (www.educationhp.org.) FOREWORD It gives me great satisfaction to know that Department of Higher Education has come up with the revised edition of the Himachal Pradesh ...
Filetype : icon picture PDF | 1.13 MB | Free Download

 


picture Online Education Pdf 114020 | Chapter 100
CHAPTER 100 - PROGRAM PLANNING AND ADMINISTRATION Section 110 Program Objectives . 4 110.1 Conformity to Mutual Educational and Cultural Exchange Act of 1961 (Public Law 87-256 ...
Filetype : icon picture PDF | 0.35 MB | Free Download

 


belum ada komentar
Please Login to post comment.

no reviews yet
Please Login to review.

Category: Standard Format / Pdf Format
Upload at: 02 Oct 2022 | 4 years ago
Tags: 0
views: 568x
Link recommended: filekonstruksi.com