jagomart
digital resources
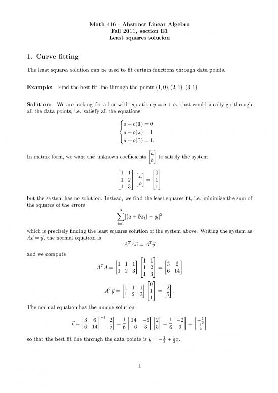
picture1_Curve Fitting Method Of Least Squares Pdf 90163 | Ch Curve Fitting


 384x       Filetype PDF       File size 0.19 MB       Source: www.math.umd.edu


File: Curve Fitting Method Of Least Squares Pdf 90163 | Ch Curve Fitting
curve fitting justin wyss gallifent july 21 2021 4 1 straight line fitting 2 4 1 1 introductory example 2 4 1 2 least squares line 4 4 2 more ...

icon picture PDF Filetype PDF | Posted on 15 Sep 2022 | 3 years ago
Partial capture of text on file.

						
									
										
									
																
													
					
The words contained in this file might help you see if this file matches what you are looking for:

...Curve fitting justin wyss gallifent july straight line introductory example least squares more general surface real world modeling and predictions choosing a function predicting matlab exercises aclassic application of the method is illustrated by following consider three points as we can see these do not lie on but suppose want to nd that s really close what ever might mean how apply above this let look at problem re trying failing y mx b such all it means be true m or matrix equation since t solve don solution x somehow best does looking back our vector contained values wanted get could instead did those in are minimize meaning minimizing sum dierences between obtained nicely picture where ve minimized dotted distances shown an interesting note about previous there two things going once first nding vertical from minimum second attempting which dimensional with no actual wecan summarize denition theorem given set n equal i minimizes doesn only work for any linear unknown variables lon...

no reviews yet
Please Login to review.