jagomart
digital resources
picture 19 File Kardiovaskuler Yaitu | Download Kumpulan Referensi

19 File Kardiovaskuler Yaitu | Download Kumpulan Referensi


Diposting 24 Aug 2022 | 4 thn lalu
Halaman ini terdiri dari kumpulan file kardiovaskuler yaitu yang bisa didownload saat ini.

.  543x 
 Tipe kumpulan file
Copy Link https://jagomart.net/item/63427/download-kumpulan-file-kardiovaskuler-yaitu
Daftar 19 File Kardiovaskuler Yaitu | Download Kumpulan Referensi :
1. Kardiovaskuler Yaitu 26834 | Manual Csl Revisi 2 Mhsw
picture Kardiovaskuler Yaitu 26834 | Manual Csl Revisi 2 Mhsw
Buku Pegangan Mahasiswa MANUAL CSL SISTEM KARDIOVASKULER Penyusun Tim Dosen Pengampu Sistem Kardiovaskuler Modul Tutorial dan Manual CSL ini untuk dipergunakan oleh Fakultas Kedokteran dan Kesehatan Universitas Muhammadiyah Jakarta Fakultas Kedokteran dan Kesehatan Universitas Muhammadiyah Jakarta 2016 Sistem Kardiovaskuler_Angkatan 2015_Oktober ...
Tipe file : icon picture DOC - Word | 0.66 MB | Free Download

 


2. Darah Pdf 59549 | 36 Item Download 2022-08-23 09-29-02
picture Darah Pdf 59549 | 36 Item Download 2022-08-23 09-29-02
MATERI ANFIS JANTUNG Sistem kardiovaskuler merupakan organ sirkulsi darah yang terdiri dari jantung, komponen darah dan pembuluh darah yang berfungsi memberikan dan mengalirkan suplai oksigen dan nutrisi keseluruh jaringan tubuh yang di perlukan dalam proses metabolisme tubuh. Sistem kardivaskuler memerlukan ...
Tipe file : icon picture PDF | 0.26 MB | Free Download

 


picture Kardiovaskuler Yaitu 59089 | Jurnal Dunia Keperawatan
Faktor Risiko Penyakit Kardiovaskuler Remaja FAKTOR RISIKO PENYAKIT KARDIOVASKULER PADA REMAJA DI PONOROGO Saiful Nurhidayat1 Saiful Nurhidayat, S.Kep.Ns.,M.Kep. Keperawatan Medikal Bedah dan Keperawatan Gawat Darurat, Fakultas Ilmu Kesehatan, Universitas Muhammadiyah Ponorogo, Kampus FIK Jl. Budi Utomo ...
Tipe file : icon picture PDF | 0.37 MB | Free Download

 


picture Darah Pdf 59520 | C74dcbefb92c3d50bc90736d17bcea57
DIKTAT KULIAH SISTEM KARDIOVASKULER Oleh: dr. I Putu Adiartha Griadhi, M.Fis. Bagian Fisiologi Program Studi Pendidikan Dokter Fakultas Kedokteran Universitas Udayana 2016 1 Pengertian Sistem kardiovaskuler adalah kumpulan organ yang bekerja sama untuk melakukan fungsi transportasi dalam tubuh manusia ...
Tipe file : icon picture PDF | 0.31 MB | Free Download

 


picture Kardiovaskuler Yaitu 25349 | Jurnal
PENGARUH LATIHAN INTERVAL TERHADAP DAYA TAHAN KARDIOVASKULER PADA KELOMPOK HEMOGLOBIN NORMAL ATLET BKMF BULUTANGKIS BEM FIK UNM Ika Abriana N, S.Or, Program studi Ilmu Keolahragaan FIK Universitas Negeri Makassar Abriana_i@yahoo.com ABSTRAK Interval Training merupakan suatu sistem latihan yang ...
Tipe file : icon picture DOCX - Word | 0.04 MB | Free Download

 


picture Kardiovaskuler Yaitu 59131 | Artikel
SURVEI STATUS GIZI,DAYATAHAN KARDIOVASKULER DAN KETERAMPILAN BERMAIN FUTSAL PADA CLUB GERAL FC MAKASSAR OGEN GUNAWAN ABSTRAK Ogen Gunawan 2019, Survei Status Gizi,Daya Tahan Kardiovaskuler dan keterampilan bermain futsal pada club Geral FC Makassar. Pembimbing I: Benny Badaru dan ...
Tipe file : icon picture PDF | 0.33 MB | Free Download

 


picture Kardiovaskuler Yaitu 6816 | Apakah Stress Mempengaruhi Imunitas Dan Menyebabkan Penyakit Arteri Koroner - Psikologi Dan Filsafat
PENELITIAN PSIKONEUROIMUNOLOGI: APAKAH STRESS MEMPENGARUHI IMUNITAS DAN MENYEBABKAN PENYAKIT ARTERI KORONER? Djanggan Sargowo Abstrak Tulisan ini bertujuan mempelajari pentingnya psikoneuroimunologi (PIN) dalam memahami peran stressor psikologi akut dan kronis pada system kekebalan dan perkembangan penyakit arteri koroner (CAD). Pertama, PNI ...
Tipe file : icon picture DOCX - Word | 0.19 MB | Free Download

 


picture Darah Pdf 59341 | Bab Ii Kti Il 10 Arista
BAB II TINJAUAN PUSTAKA A. Kardiovaskuler 1. Pengertian Penyakit kardiovaskular atau yang biasa disebut penyakit jantung umumnya mengacu pada kondisi yang melibatkan penyempitan atau pemblokiran pembuluh darah yang bisa menyebabkan serangan jantung, nyeri dada (angina) atau stroke. Kondisi jantung lainnya ...
Tipe file : icon picture PDF | 0.32 MB | Free Download

 


picture Pembuluh Limfatik 2858 | Darah Dan Proses Sirkulasinya
SIRKULASI DARAH Sistem Kardiovaskular Sistem Limfatik Darah Cairan Limfa Jantung Pembuluh Limfa Pembuluh Darah Organ Limfa Sirkulasi Darah Sirkulasi Darah Sistem sirkulasi darah adalah suatu sistem Sistem sirkulasi darah adalah suatu sistem organ yang berfungsi memindahkan zat ke organ yang ...
Tipe file : icon picture PPT - Power Point | 3.97 MB | Free Download

 


picture Kardiovaskuler Yaitu 21708 | Materi  Askep Ggn Sistem Kardiovaskuler
DEFINISI Dengan bertambahnya usia, wajar saja bila kondisi dan fungsi tubuh pun makin menurun. Tak heran bila pada usia lanjut, semakin banyak keluhan yang dilontarkan karena tubuh tak lagi mau bekerja sama dengan baik seperti kala muda. Secara umum, menjadi ...
Tipe file : icon picture PPT - Power Point | 0.69 MB | Free Download

 


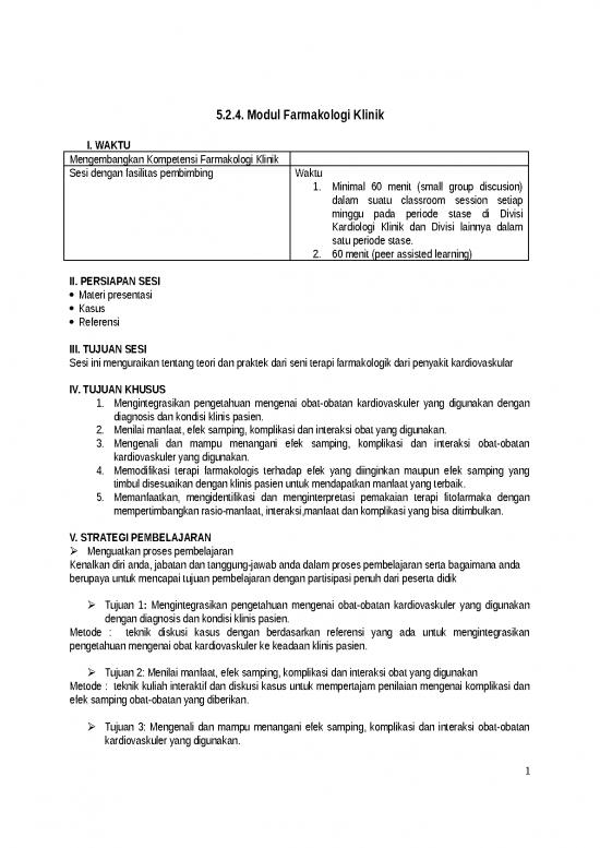
picture Kardiovaskuler Yaitu 22729 | Modul Farmakologi Klinik
5.2.4. Modul Farmakologi Klinik I. WAKTU Mengembangkan Kompetensi Farmakologi Klinik Sesi dengan fasilitas pembimbing Waktu 1. Minimal 60 menit (small group discusion) dalam suatu classroom session setiap minggu pada periode stase di Divisi Kardiologi Klinik dan Divisi lainnya ...
Tipe file : icon picture DOC - Word | 0.14 MB | Free Download

 


picture Puskesmas Pdf 27593 | Naskah Publikasi
ASUHAN KEPERAWATAN KELUARGA Tn.U DENGAN GANGGUAN SISTEM KARDIOVASKULER: HIPERTENSI PADA Ny.N DI DESA PUCANG SAWIT RT 02/RW 04 WILAYAH KERJA PUSKESMAS PUCANG SAWIT SURAKARTA NASKAH PUBLIKASI Diajukan Guna Melengkapi Tugas-Tugas dan Memenuhi Syarat-Syarat Untuk Menyelesaikan Program Pendidikan Diploma ...
Tipe file : icon picture PDF | 0.29 MB | Free Download

 


picture Kardiovaskuler Yaitu 58867 | Modul Lab Kardio Ii Abu Publish
MODUL PRAKTIK LABORATORIUM KEPERAWATAN KARDIOVASKULER II BUKU PEGANGAN TUTOR Editor: Abu Bakar, M.Kep., Ns.,Sp.Kep.M.B PROGRAM STUDI PENDIDIKAN NERS FAKULTAS KEPERAWATAN UNIVERSITAS AIRLANGGA SURABAYA 2014 Modul Praktik Laboratorium Keperawatan Kardiovaskular II Penulis: Abu Bakar Ninuk Dian ...
Tipe file : icon picture PDF | 1.11 MB | Free Download

 


picture Darah Pdf 59540 | Bb3 Kardiovasa
SISTEM KARDIOVASKULER Sistem sirkulasi terdiri dari atas sistem kardiovaskuler dan limfe. Sistem karidovakuler terdiri dari struktur-struktur sebagai berikut: 1. Jantung, yang berfungsi untuk memompa darah. 2. Pembuluh darah yang berfungsi untuk mengalirkan darah menuju ke jaringan dan sebaliknya. 3. Cairan ...
Tipe file : icon picture PDF | 0.14 MB | Free Download

 


picture Laporan Doc 1822 | Laporan Praktikum Fisiologi Vital Sign
LAPORAN PRAKTIKUM FISIOLOGI TOPIK : VITAL SIGN NAMA : TRIANIKE NOR AINI NIM : 121610101002 LABORATORIUM FISIOLOGI FAKULTAS KEDOKTERAN GIGI UNIVERSITAS JEMBER 2012 BAB I DASAR TEORI Pemeriksaan tanda vital adalah merupakan suatau cara untuk mendektesi adanya perubahan sistem tubuh ...
Tipe file : icon picture DOCX - Word | 0.04 MB | Free Download

 


picture Kardiovaskuler Yaitu 2855 | Asuhan Kegawat Daruratan Kardiovaskuler
Kegawat daruratan kardivaskuler • Kegawatdaruratan kardiovaskuler adalah keadaan dimana terjadi gangguan irama jantung dan jantung tidak berdenyut seperti biasa, sehingga tidak dapat memompa darah secara optimal ke seluruh tubuh Penyakit kegawatdaruratan kardiovaskular a. Serangan jantung Istilah serangan jantung merupakan sekumpulan ...
Tipe file : icon picture PPT - Power Point | 1.58 MB | Free Download

 


picture Kardiovaskuler Yaitu 4065 | Askep - Asuhan Keperawatan Klien Lanjut Usia Dengan Demensia
DEFINISI Demensia adalah keadaan dimana seseorang mengalami penurunan kemampuan daya ingat dan daya pikir, dan penurunan kemampuan tersebut menimbulkan gangguan terhadap fungsi kehidupan sehari-hari. Kumpulan gejala yang ditandai dengan penurunan kognitif. Perubahan mood dan tingkah lakusehingga mempengaruhi aktivitas kehidupan sehari-hari ...
Tipe file : icon picture PPT - Power Point | 0.08 MB | Free Download

 


picture Kardiovaskuler Yaitu 4606 | Anatomi Manusia - Struktur Dan Komponen Tubuh Manusia
Materi Perkuliahan Anatomi Kuliah Pengantar Pencernaan. Anatomi. Perkemihan. Komposisi dan komponen tubuh Reproduksi. manusia. persarafan. Anatomi sistem muskuloskeletal. Kulit. Pernapasan. Panca indra. Kardiovaskuler. Endokrin PENGANTAR ANATOMI KATA ANATOMI BERASAL DARI BAHASA YUNANI : ANA DAN TOME,YANG BERARTI MEMOTONG DAN ...
Tipe file : icon picture PPT - Power Point | 0.86 MB | Free Download

 


picture Exercise Spreadsheet 4718 | Pemeriksaan Vital Sign - Tanda-tanda Vital - Ukuran Statistik Berbagai Fisiologis Yang Digunakan Untuk Membantu Menentukan Status Kesehatan Seseorang
PENGERTIAN Vital sign atau tanda-tanda vital adalah ukuran statistik berbagai fisiologis yang digunakan untuk membantu menentukan status kesehatan seseorang, terutama pada pasien yang secara medis tidak stabil atau memiliki faktor-faktor resiko komplikasi kardiopulmonal dan untuk menilai respon terhadap intervensi. Tanda ...
Tipe file : icon picture PPT - Power Point | 0.27 MB | Free Download

 


no reviews yet
Please Login to review.

Kategori: Perkantoran / Bidang Kesehatan
Upload: 24 Aug 2022 | 4 thn lalu
Tags: 0
dilihat: 543x
Link rekomendasi: filekonstruksi.com