jagomart
digital resources
picture 9 Loan Sanction Letter Format Files | Download Free Collection Files

9 Loan Sanction Letter Format Files | Download Free Collection Files


Posted on 19 Aug 2022 | 4 years ago
Download free loan sanction letter format files.

.  482x 
 file set type 
Copy Link https://jagomart.net/item/52912/free-download-collection-files-loan-sanction-letter-format
List of 9 Loan Sanction Letter Format Files | Download Free Collection Files.
1. Letter Pdf 48760 | Policyinprincipalloansanctionletter
picture Letter Pdf 48760 | Policyinprincipalloansanctionletter
Policy for granting of In- Principle Loan Sanction to Applicants Proposed Terms & Conditions: IREDA may grant an In-Principle loan sanction to Borrowers without compromising IREDA’s rights to do due diligence at the time of loan sanction, in cases, where Regulatory/ Government Approvals are linked to In-Principle Sanction of Loans by FIs/Banks or Loan by Other Institutions in consortium are linked to In-Principle ...
Filetype : icon picture PDF | 0.14 MB | Free Download

 


2. Letter Pdf 49173 | Sample E Sanction Letter
picture Letter Pdf 49173 | Sample E Sanction Letter
In-Principle e-Sanction Letter Sanction Date: 26/ 07 / 2020 Dear Mr Rakesh Singh We are pleased to inform you that based on your Online Loan Application to Tata Capital Housing Finance Limited (TCHFL) bearing Application No.: XXXXXXXXX we are offering you an in-principle e-Sanction based on the information provided by you, under the XXXXXXXXXXXXXX program. This in principle e-sanction for your loan is subject ...
Filetype : icon picture PDF | 0.33 MB | Free Download

 


picture Letter Pdf 47815 | 191220 Hhf Loan Sanction Letter
MOST IMPORTANT TERMS AND CONDITIONS (MITC) (For individual Housing Loan) The Most Important Terms and Conditions ("the MITC") for the housing loan ("the Loan") availed by an individual Borrower(s) from Hinduja Housing Finance Limited, a Company incorporated under the Companies Act, 2013 and having Its registered & Corporate ofce at No. 27A, Developed Plot, Guindy Industrial ...
Filetype : icon picture PDF | 0.15 MB | Free Download

 


picture Letter Pdf 48420 | Mitc Developer Finance
MOST IMPORTANT TERMS AND CONDITIONS (MITC) Pursuant to the terms and conditions agreed to between BAJAJ HOUSING FINANCE LIMITED (“BHFL” or “the Lender”) and the Borrower (“the Borrower” or “the Customer”) as detailed in the Sanction letter, Loan Agreement (“Loan Agreement”), the Top-Up Loan Addendum, Disbursement letter and/ or other documents, if any, (collectively referred to as ...
Filetype : icon picture PDF | 0.29 MB | Free Download

 


picture Letter Pdf 47876 | Sample Loan Sanction Letter
Date: 1/31/2020 To: Tom Jones No 123 First Street City, Country 123123 Dear Sir/Madam, Subject: Education Loan Sanction Letter Ref: Application No. A123456789 This has reference to your above referred application for and Education Loan (“Loan”) for funding higher studies of TOM JONES at an accredited institution in the United States, starting Fall/Spring 2020. Based on the details provided by you vide your ...
Filetype : icon picture PDF | 0.26 MB | Free Download

 


picture Letter Pdf 48113 | 74ff6311 867b 4855 9e05 58b48a361b83
10933951 LOAN SANCTION LETTER Our Reference No. 718794 Date 06-APR-17 Name of the Applicant M/S TERRA DEVELOPERS Address PLOT NO-18 5TH FLOOR SECTOR-44 GURGAON 122001 HARYANA INDIA Phone No. 9958522952 Name of the Co-Applicant COMPETENT INFRATECH PRIVATE LIMITED, SKYLARK INFRATECH PRIVATE LIMITED, /Guarantor PAWAN KUMAR, MAHENDER ARORA, SUNIL KUMAR, SUNITA CHUTANI Dear M/S TERRA DEVELOPERS Subject : Your application for Loan against Property facility from ...
Filetype : icon picture PDF | 1.14 MB | Free Download

 


picture Letter Pdf 48678 | Lap Sanction Letter Fixed
To, Date: (Applicant) (Address) Contact Number: Ref Number: LOS ID – ____________ Dear Sir/Madam At your request, we are pleased to advice in principle sanction of a Secured Loan on the agreed terms and conditions as per this letter. Terms and Conditions of Loan Facility Amount (Rs) Rs Purpose / End Use Type of Interest Fixed Applicable Interest rate % per annum Tenor (Months) 84 ...
Filetype : icon picture PDF | 0.06 MB | Free Download

 


picture Letter Pdf 48705 | Homeowner General Info Sheet
General Information Sheet HomeOwner Loan Together we thrive 1. Lender 6. Fees and costs HSBC Bank Malta p.l.c. Fees 116 Archbishop Street Valletta VLT 1444 Processing Fee of 0.30% of the loan amount (minimum of €50 and maximum €450) is payable on 2. Purposes for which this loan may be used acceptance of the HomeOwner Loan application. The fee is ...
Filetype : icon picture PDF | 0.48 MB | Free Download

 


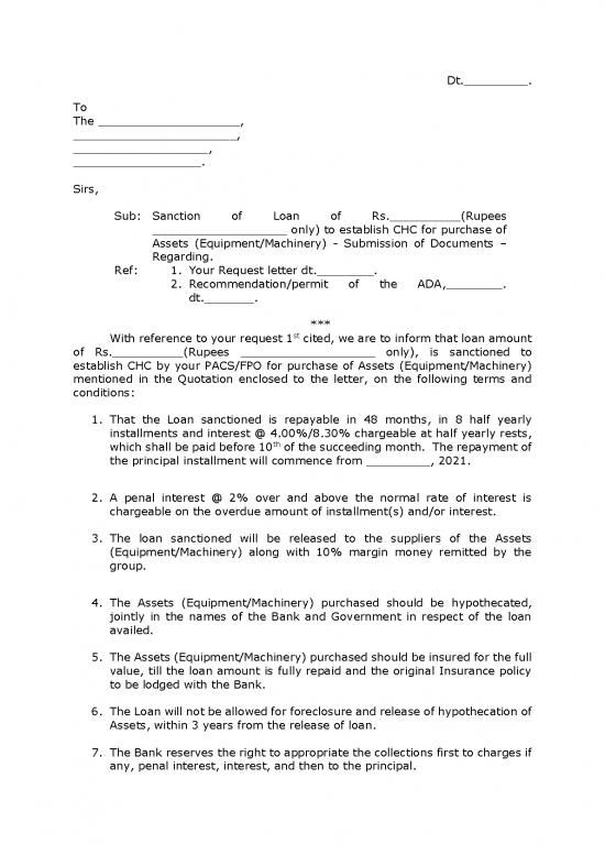
picture Letter Pdf 48396 | Sanction Lettedocx
Dt._________. To The ____________________, _______________________, ___________________, __________________. Sirs, Sub: Sanction of Loan of Rs.__________(Rupees ___________________ only) to establish CHC for purchase of Assets (Equipment/Machinery) - Submission of Documents – Regarding. Ref: 1. Your Request letter dt.________. 2. Recommendation/permit of the ADA,________. dt._______. *** st With reference to your request 1 cited, we are to inform that loan amount of Rs ...
Filetype : icon picture PDF | 0.06 MB | Free Download

 


belum ada komentar
Please Login to post comment.

no reviews yet
Please Login to review.

Category: Standard Format / Pdf Format
Upload at: 19 Aug 2022 | 4 years ago
Tags: 0
views: 482x
Link recommended: filekonstruksi.com