jagomart
digital resources
picture 7 Mcq On Human Resource Management Files | Download Free Collection Files

7 Mcq On Human Resource Management Files | Download Free Collection Files


Posted on 18 Aug 2022 | 4 years ago
Download free mcq on human resource management files. As a reference file related to the human resource management mcq pdf,international human resource management mcq pdf.

.  472x 
 file set type 
Copy Link https://jagomart.net/item/49464/free-download-collection-files-mcq-on-human-resource-management
List of 7 Mcq On Human Resource Management Files | Download Free Collection Files.
1. Mcq On Human Resource Management 44951 | Rolininupenezuwe
picture Mcq On Human Resource Management 44951 | Rolininupenezuwe
Next Organisational behaviour and human resource management pdf Organisational behaviour and human resource management phd university of kent. Organisational behaviour and human resource management pdf. Difference between organisational behaviour and human resource management. Elk asia pacific journal of human resource management and organisational behaviour. Master of science in human resource management and organisational behaviour. Organisational behaviour and human resource management mcq. Loading PreviewSorry, the preview is currently indisposable. You can download the paper by clicking on the button above. Loading ...
Filetype : icon picture PDF | 0.31 MB | Free Download

 


2. Mcq On Human Resource Management 45264 | Sem Vi Bbi Human Resource Manangement
picture Mcq On Human Resource Management 45264 | Sem Vi  Bbi Human Resource Manangement
SAMPLE MCQ HUMAN RESOURCE MANAGEMENT 1. -------refers to the practices and policies one needs to carry out to deal with the personnel aspects of the management job. a. Human resource management b. Financial management c. Marketing Management d. Production Management 2. -------- is the function within an organization that focuses on recruitment of, management of, and providing direction for the people who work in the organization. a. Financial management b. Human resource management c. Marketing Management d.IT Management 3 ...
Filetype : icon picture PDF | 0.11 MB | Free Download

 


picture Mcq On Human Resource Management 45138 | Sample Test Human Resource Management
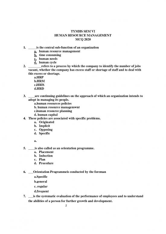
TYMHS SEM VI HUMAN RESOURCE MANAGEMENT MCQ 2020 1. _____is the central sub-function of an organization a. human resource management b. time consuming c. human needs d. human cycle 2. ________refers to a process by which the company to identify the number of jobs vacant, whether the company has excess staff or shortage of staff and to deal with this excess or shortage. a.HRP b.HRM c.HRIS d.HRD 3. ____are continuing guidelines on the approach of which ...
Filetype : icon picture PDF | 0.34 MB | Free Download

 


picture Mcq On Human Resource Management 45610 | Mcq On Human Resource Management
NAME: Dr. SHAHNAZ PARVEEN DEPARTMENT: MANAGEMENT COLLEGE: UMESCHANDRA COLLEGE, SALT LAKE CAMPUS SUBJECT: HUMAN RESOURCE MANAGEMENT SEMESTER: II (I YEAR) UNIT: 1 INTRODUCTION HUMAN RESOURCE MANAGEMENT (MCQ) Que:1 Human resource management emphasis- a. Development of people b. Punishment of people c. Adoption of people d. None of these Ans: a Que:2 Human resource management is amalgam of- a. Job analysis, recruitment and selection b. Social behaviour and business ethics c. Organisational behaviour, , personal management and industrial relation d. Employer and ...
Filetype : icon picture PDF | 0.19 MB | Free Download

 


picture Mcq On Human Resource Management 45471 | Global Hrm  Mcq
GLOBAL HRM MCQ 1. Identify the managerial function out of the following functions of HR managers. a. Procurement b. Development c. Organizing d. performance appraisal 2. Which of the following is an example of operative function of HR managers? a. Planning b. Organising c. Procurement d. Controlling 3. The scope of human resource management includes a. Procurement b. Development c. Compensation d. all of the above 4. Human resource management is normally in nature a. Proactive b. Reactive c. Combative ...
Filetype : icon picture PDF | 0.25 MB | Free Download

 


picture Mcq On Human Resource Management 45591 | 2ndsem Mcq On Nature And Scope Pujagupta 10apr2020
HUMAN RESOURCE MANAGEMENT MCQ ON NATURE AND SCOPE TEACHER’S NAME- PUJA GUPTA 1) Human resource evolved around mid – 90s from the a) Concept of human relations b) Concept of personnel management c) Concept of organizational behavior d) Neither of these. 2) HRM is concerned with . In organization, with the focus on company’s policies, strategies, procedures and system in order to attain the business objectives in an effective and efficient ...
Filetype : icon picture PDF | 0.03 MB | Free Download

 


picture Mcq On Human Resource Management 44880 | Hrm Item Download 2022-08-17 09-32-02
Institute of Bankers Pakistan Sample Questions Human Resource Management and Organizational Behavior The sample questions are related to the JAIBP Stage 2 course “Human Resource Management and Organizational Behavior”. The students are advised to thoroughly read the exam guidelines and the syllabus guide for this course before start studying for the paper. The questions are shared to give an idea to the student about the paper format and types of questions. For further information visit the IBP website www ...
Filetype : icon picture PDF | 0.38 MB | Free Download

 


belum ada komentar
Please Login to post comment.

no reviews yet
Please Login to review.

Category: Literatur / Literatur
Upload at: 18 Aug 2022 | 4 years ago
Tags: human resource management mcq pdf,international human resource management mcq pdf
views: 472x
Link recommended: filekonstruksi.com