jagomart
digital resources
picture 19 File Prosedur Pelaksanaan Penelitian | Download Kumpulan Referensi

19 File Prosedur Pelaksanaan Penelitian | Download Kumpulan Referensi


Diposting 15 Aug 2022 | 4 thn lalu
Halaman ini terdiri dari kumpulan file prosedur pelaksanaan penelitian yang bisa didownload saat ini.

.  423x 
 Tipe kumpulan file
Copy Link https://jagomart.net/item/44432/download-kumpulan-file-prosedur-pelaksanaan-penelitian
Daftar 19 File Prosedur Pelaksanaan Penelitian | Download Kumpulan Referensi :
1. Format Dan Konsep Dasar Menyusun Laporan Penelitian | File - Laporan Penelitian Id 19007
picture Format Dan Konsep Dasar Menyusun Laporan Penelitian | File - Laporan Penelitian Id 19007
1. Sistematika laporan penelitian Berikut adalah penjelasan tentang Format dan Konsep Dasar Menyusun Laporan Penelitian | Penelitian Laporan penelitian adalah laporan ilmiah lengkap dari suatu penelitian setelah kegiatan penelitian berakhir, sebagai pertanggungjawaban ilmiah dan sebagai dokumen tertulis lengkap dari kegiatan ...
Tipe file : icon picture DOCX - Word | 0.02 MB | Free Download

 


2. File - Laporan Penelitian Id 7374 | Sop Lemlit- Standar Format
picture File - Laporan Penelitian Id 7374 | Sop Lemlit- Standar Format
STANDAR OPERASIONAL PROSEDUR (SOP) PENELITIAN BIAYA PNBP LEMBAGA PENELITIAN UNIVERSITAS NEGERI GORONTALO TUJUAN SOP ini bertujuan untuk : 1. Memberikan penjelasan dan pemahaman tentang tata aliran kerja pengajuan usul, pelaksanaan penelitian dan pelaporan hasil penelitian 2. Sebagai panduan bagi dosen ...
Tipe file : icon picture DOC - Word | 0.04 MB | Free Download

 


picture Penelitian Deskriptif 40590 | 12 Bab Iii Tesis
64 BAB III METODEPENELITIAN A.Metodedan Prosedur Penelitian 1. Metode Penelitian Metode penelitian yang digunakan dalam penelitian ini adalah menggunakan metode penelitian kualitatif. Metode penelitian kualitatif sering disebut metode penelitian naturalistik karena Penelitiannya dilakukan dalam kondisi yang alamiah.1 Hal ...
Tipe file : icon picture PDF | 0.04 MB | Free Download

 


picture Tujuan Penelitian Adalah 17117 | Mp Persiapan Dan Pelaksanaan Kegiatan Penelitian Pusat Kajian Copy Copy
MANUAL PROSEDUR KEGIATAN PENELITIAN OLEH PUSAT KAJIAN BEKERJASAMA DENGAN DENGAN DINAS/INSTANSI PEMERINTAH LAIN FAKULTAS EKONOMI DAN BISNIS UNIVERSITAS BRAWIJAYA MALANG 2014 Manual Prosedur KEGIATAN PENELITIAN OLEH PUSAT KAJIAN KERJASAMA DENGAN DENGAN DINAS/INSTANSI PEMERINTAH LAIN Fakultas Ekonomi dan Bisnis UniversitasBrawijaya Kode ...
Tipe file : icon picture DOCX - Word | 0.29 MB | Free Download

 


picture File - Laporan Penelitian Id 18627 | 8 Sop Kegiatan Laporan Hasil Penelitian
Tanggal Revisi ................: SOP KEGIATAN Tanggal Berlaku : ................ LAPORAN HASIL Kode Dokumen : ................ PENELITIAN 1. TUJUAN : Bertujuan mengatur prosedur pelaporan hasil penelitian, guna memberi panduan secara rinci tahapan dan ketentuan tentang pelaporan hasil penelitian sesuai dengan Pedoman Penelitian Dikti ...
Tipe file : icon picture DOC - Word | 0.13 MB | Free Download

 


picture Ok  Pelaporan Hasil Penelitian | File - Laporan Penelitian Id 19034
Standard Operating Procedure Pelaporan Hasil Penelitian LEMBAGA PENELITIAN DAN PENGABDIAN KEPADA MASYARAKAT Universitas Brawijaya Malang 2018 i DAFTAR ISI ii LEMBAR IDENTIFIKASI ---------------------------------------------------------------------------------- ii DAFTAR ISI ------------------------------------------------------------------------------------------------------ iii A. Tujuan--------------------------------------------------------------------------------------------------------- 1 B. Ruang Lingkup dan Unit yang Terkait --------------------------------------------------- 1 ...
Tipe file : icon picture PDF | 0.34 MB | Free Download

 


picture Contoh Prosedur Penelitian 19160 | Sk Sop Lp2m
PERATURAN REKTOR UNIVERSITAS KRISTEN SURAKARTA NOMOR:……………………. TENTANG PROSEDUR OPERASIONAL STANDAR PENELITIAN UNIVERSITAS KRISTEN SURAKARTA Mengingat : 1. Peraturan Pemerintah Republik Indonesia Nomor 19 tahun 2005 tentang Sistem Pendidikan Nasional 2. Undang-undang Republik Indonesia ...
Tipe file : icon picture DOCX - Word | 0.31 MB | Free Download

 


picture Penelitian Deskriptif 41878 | S Adp 0705056 Chapter3
BAB III METODOLOGI PENELITIAN A. Metode Penelitian Metode penelitian adalah cara kerja untuk mengumpulkan data dan kemudian mengolah data sehingga menghasilkan data yang dapat memecahkan permasalahan penelitian. Hal tersebut seperti yang diungkapkan oleh Winarno Surakhmad (1985:131) yaitu: ”Metode penelitian ...
Tipe file : icon picture PDF | 0.57 MB | Free Download

 


picture Laporan Pdf 18856 | Bab Iii Metode (ma)
BAB III METODE PENELITIAN A. Waktu dan Tempat Penelitian 1. Waktu Penelitian Waktu yang digunakan peneliti untuk penelitian ini dilaksanakan sejak tanggal dikeluarkannya ijin penelitian dalam kurun waktu kurang lebih 2 (dua) bulan, 1 bulan pengumpulan data dan 1 bulan ...
Tipe file : icon picture PDF | 0.15 MB | Free Download

 


picture Flowchart Penelitian 39355 | Bab Iii
3 BAB III METODOLOGI PENELITIAN Flowchart Metode Penelitian Dalam memecahkan masalah pada penelitiann yang diamati, dibutuhkan langkah-langkah untuk menguraikan pendekatan dan model dari masalah tersebut. Flowchart dapat dilihat di halaman 32. Jenis Penelitian Penelitian ini bersifat deskriptif kualitatif karena penelitian ...
Tipe file : icon picture PDF | 0.24 MB | Free Download

 


picture Tujuan Penelitian Adalah 40373 | File 09 03 2021 6047927498538
Kegiatan Belajar 1: KONSEP PENELITIAN TINDAKAN KELAS Pokok-Pokok Materi Dalam Kegiatan Belajar (KB) 1 ini, Anda akan mempelajari dan mendiskusikan tentang konsep dasar penelitian tindakan kelas atau dikenal dengan classroom action research. Dalam hal ini, Anda akan diajak untuk bersama-sama ...
Tipe file : icon picture PDF | 2.25 MB | Free Download

 


picture Penelitian Deskriptif 34255 | Bab Iii
BAB III METODE PENELITIAN Pada bab 3 akan diuraikan mengenai masalah dan hal-hal yang berkaitan dengan pelaksanaan penelitian, mulai dari rancangan penelitian, kehadiran peneliti, lokasi penelitian, data dan sumber data, teknik pengumpulan data, teknik analisis data, pengecekan keabsahan data, dan ...
Tipe file : icon picture PDF | 0.31 MB | Free Download

 


picture Contoh Prosedur Penelitian 11409 | Manual Prosedur Seminar Proposal | Proposal File
MANUAL PROSEDUR SEMINAR PROPOSAL PENELITIAN DISERTASI PROGRAM DOKTOR ILMU PETERNAKAN PROGRAM PASCASARJANA UNIVERSITAS NUSA CENDANA 1 2018 MANUAL PROSEDUR SEMINAR PROPOSAL PENELITIAN DISERTASI PROGRAM DOKTOR ILMU PETERNAKAN PROGRAM PASCASARJANA UNIVERSITAS NUSA CENDANA Kode : Dokumen Revisi : Tanggal : 14 ...
Tipe file : icon picture DOCX - Word | 0.16 MB | Free Download

 


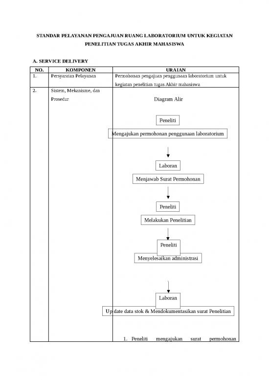
picture File - Surat Permohonan Id 19009 | Spp Untuk Penelitian Ta Mahasiswa
STANDAR PELAYANAN PENGAJUAN RUANG LABORATORIUM UNTUK KEGIATAN PENELITIAN TUGAS AKHIR MAHASISWA A. SERVICE DELIVERY NO. KOMPONEN URAIAN 1. Persyaratan Pelayanan Permohonan pengajuan penggunaan laboratorium untuk kegiatan penelitian tugas Akhir mahasiswa 2. Sistem, Mekanisme, dan Prosedur Diagram Alir Peneliti Mengajukan permohonan ...
Tipe file : icon picture DOCX - Word | 0.02 MB | Free Download

 


picture Pembelajaran Pdf 15274 | Prosedur Pembelian Koleksi Perpustakaan
PROSEDUR Nomor P1 PENGAJUAN PEMBELIAN Revisi 0 KOLEKSI PERPUSTAKAAN Berlaku 5 Okt 2015 1. TUJUAN Prosedur pengajuan pembelian koleksi perpustakaan ini bertujuan untuk menerangkan kepada dosen cara mengajukan pembelian koleksi perpustakaan, dengan pendanaan yang dipusatkan di Perpustakaan UNPAR. 2. RUANG ...
Tipe file : icon picture PDF | 2.02 MB | Free Download

 


picture Contoh Metode Penelitian 19011 | 5bbe0f1022a3bfe65e263e7528f0380c
BAGIAN AWAL HALAMAN JUDUL LEMBARAN PERSETUJUAN ABSTRAK KATA PENGANTAR DAFTAR ISI DAFTAR TABEL DAFTAR GAMBAR LAMPIRAN Guru Mulia dengan Karya 07/24/22 BAGAN ISI : TERDIRI ATAS BEBERAPA BAB BAB 1 PENDAHULUAN LATAR BELAKANG MASALAH PERUMUSAN MASALAH PENJELASAN/VERIFIKASI /KLARIFIKASI KONSEP (BILA ...
Tipe file : icon picture PPT - Power Point | 1.62 MB | Free Download

 


picture Tujuan Penelitian Adalah 13924 | Format Proposal Pengajuan Dana Bantuan Tugas Akhir
PROPOSAL PENGAJUAN DANA BANTUAN TUGAS AKHIR PROGRAM STUDI SARJANA BIOLOGI DAN MIKROBIOLOGI SEKOLAH ILMU DAN TEKNOLOGI HAYATI 1 DATA MAHASISWA TUGAS AKHIR . NAMA : NIM : PROGRAM STUDI : NAMA BANK / NO : REKENING 2 JUDUL TUGAS AKHIR . 3 ...
Tipe file : icon picture DOC - Word | 0.07 MB | Free Download

 


picture Contoh Metode Penelitian 11423 | Form Proposal Ta Dttl 2018 V1 | Proposal File
DEPARTEMEN TEKNIK TRANSPORTASI LAUT FAKULTAS TEKNOLOGI KELAUTAN Kampus ITS Sukolilo, Surabaya 60111 Telp: 031 596 1505, Fax : 031 596 1504 Email: seatrans @its.ac.id Form TA-01 PROPOSAL TUGAS AKHIR Nama: NRP: Usulan Judul: Ikhtisar Penelitian: Uraian singkat tentang ...
Tipe file : icon picture DOC - Word | 0.18 MB | Free Download

 


picture Tujuan Penelitian Adalah 11395 | Sop Ujian Proposal Penelitian | Proposal File
SEKOLAH TINGGI AGAMA ISLAM AL HIDAYAH (STAIA) G O R JURUSAN SYARIAH PROGRAM STUDI ASH O B STAIA Tanggal Terbit Nomor Bagian STANDAR OPERASIONAL PROSEDUR Revisi UJIAN PROPOSAL PENELITIAN Tanggal Revisi Disetujui Oleh A. TUJUAN 1. Memberikan acuan bagi Jurusan ...
Tipe file : icon picture DOCX - Word | 0.03 MB | Free Download

 


no reviews yet
Please Login to review.

Kategori: Makalah Laporan Dunia Pendidikan / Topik Lainnya
Upload: 15 Aug 2022 | 4 thn lalu
Tags: 0
dilihat: 423x
Link rekomendasi: filekonstruksi.com