jagomart
digital resources
picture 5 File Makalah Konsep Keperawatan | Download Kumpulan Referensi

5 File Makalah Konsep Keperawatan | Download Kumpulan Referensi


Diposting 12 Aug 2022 | 4 thn lalu
Halaman ini terdiri dari kumpulan file makalah konsep keperawatan yang bisa didownload saat ini. Sebagai referensi file terkait makalah konsep dasar keperawatan.

.  420x 
 Tipe kumpulan file
Copy Link https://jagomart.net/item/38718/download-kumpulan-file-makalah-konsep-keperawatan
Daftar 5 File Makalah Konsep Keperawatan | Download Kumpulan Referensi :
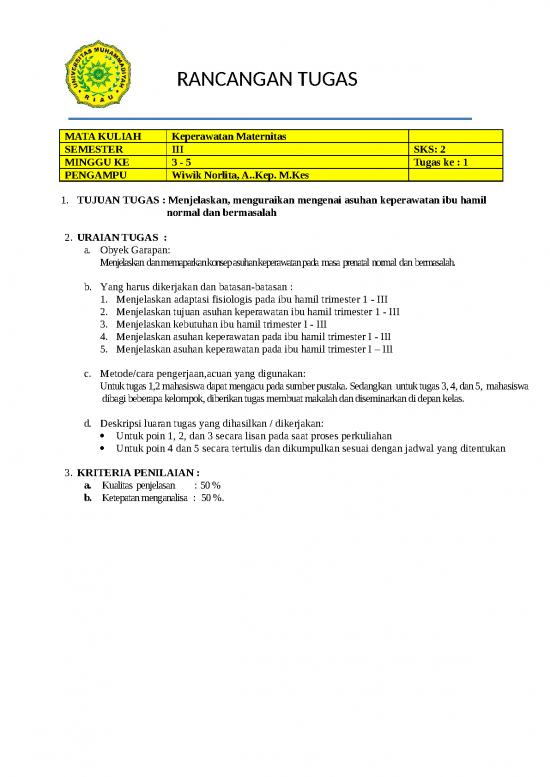
1. Makalah Konsep Keperawatan 35171 | Rancangan Tugas Kep Maternitas 2017
picture Makalah Konsep Keperawatan 35171 | Rancangan Tugas Kep Maternitas 2017
RANCANGAN TUGAS MATA KULIAH Keperawatan Maternitas SEMESTER III SKS: 2 MINGGU KE 3 - 5 Tugas ke : 1 PENGAMPU Wiwik Norlita, A.Kep. M.Kes 1. TUJUAN TUGAS : Menjelaskan, menguraikan mengenai asuhan keperawatan ibu hamil normal dan bermasalah 2. URAIAN TUGAS : a. Obyek Garapan: Menjelaskan dan memaparkan konsep asuhan keperawatan pada masa prenatal normal dan bermasalah. b. Yang harus dikerjakan dan batasan-batasan : 1. Menjelaskan adaptasi fisiologis pada ibu hamil trimester 1 - III 2. Menjelaskan tujuan ...
Tipe file : icon picture DOCX - Word | 0.07 MB | Free Download

 


2. Makalah Paradigma Keperawatan 1431 | Makalah Media Pembelajaran Dan Macam-macam Media Pembelajaran
picture Makalah Paradigma Keperawatan 1431 | Makalah Media Pembelajaran  Dan Macam-macam Media Pembelajaran
MEDIA PEMBELAJARAN DAN MACAM-MACAM MEDIA PEMBELAJARAN DALAM PROSES BELAJAR MENGAJAR MAKALAH Oleh Sungging Pandu Wijaya NIM. 122310101026 PROGRAM STUDI ILMU KEPERAWATAN UNIVERSITAS JEMBER 2014 MEDIA PEMBELAJARAN DAN MACAM-MACAM MEDIA PEMBELAJARAN DALAM PROSES BELAJAR MENGAJAR MAKALAH Diajukan guna melengkapi tugas mata kuliah Pendidikan Dalam Keperawatan Fasilitator : Ns. Roymond H. Simamora, M.Kep. Oleh Sungging Pandu Wijaya NIM. 122310101026 PROGRAM STUDI ILMU KEPERAWATAN UNIVERSITAS JEMBER 2014 MEDIA PEMBELAJARAN DAN MACAM-MACAM MEDIA PEMBELAJARAN DALAM PROSES BELAJAR MENGAJAR Nama : Sungging Pandu Wijaya ...
Tipe file : icon picture DOCX - Word | 0.25 MB | Free Download

 


picture Makalah Konsep Dasar Keperawatan 2750 | Anemia Hemolitik
PENDAHULUAN   1. Latar Belakang Anemia hemolitik adalah anemia yang tidak terlalu sering dijumpai, tetapi bila dijumpai memerlukan pendekatan diagnostik yang tepat. Pada kasus-kasus penyakit dalam yang dirawat di RSUP sanglah tahun 1997. Anemia hemolitik merupakan 6% dari kasus anemia, menempati urutan ketiga setelah anemia aplastik dan anemia sekunder keganasan hematologis.( Wiwik Handayani.2008) Rumusan Masalah Apa Pengertian dari Anemia Hemolitik ? Apa Etiologi dari anemia Hemolitik ? Bagaimanakah patofisiologis pada anemia Hemolitik? Apa saja manifestasi dari anemia Hemolitik? Pemeriksaan penunjang ...
Tipe file : icon picture PPT - Power Point | 1.25 MB | Free Download

 


picture Makalah Konsep Sehat Sakit 35179 | Makalah Sehat Sakit
MAKALAH Pengertian dan Relevansi Sehat, Sakit bagi Studi Kesehatan Dan Perilaku Sehat, Sakit dan Peranan Sakit Dosen Pembimbing : Ns. Dwi Fitriyanti, S.Kep Disusun oleh Gamaliel Anggriya Dwi Putra (1.13.039) SEKOLAH TINGGI ILMU KESEHATAN TELOGOREJO PROGRAM STUDI S1 ILMU KEPERAWATAN SEMARANG 2014 BAB I PENDAHULUAN Latar Belakang Rendahnya utilitas (penggunaan) fasilitas kesehatan seperti Puskesmas, Rumah Sakit, dan sebagainya, kesalahan atau penyebabnya sering dilemparkan kepada jarak antara fasilitas tersebut dengan masyarakat terlalu jauh (baik jarak secara fisik maupun ...
Tipe file : icon picture DOCX - Word | 0.08 MB | Free Download

 


picture Praktikum Karbohidrat 34448 | Silabus Biokimia
SILABUS 1. Identitas Mata Kuliah Nama Mata Kuliah : Biokimia Nomor Kode : PW 153 Jumlah SKS : 2 (1,1) SKS Semester : 2 Kelompok Mata Kuliah : MKK Program Studi Program Studi : D3 Keperawatan (Konsentrasi Gerontologi) PKR FPOK UPI Status Mata Kuliah : Mata Kuliah Keahlian Prasyarat : - Dosen : Dr.dr. Neng Tine kartinah Al Muktabar, M.Kes. 2. Tujuan Setelah mengikuti mata kuliah dan praktikum biokimia, mahasiswa diharapkan dapat memahami proses-proses kimiawi dalam tubuh ...
Tipe file : icon picture DOC - Word | 0.05 MB | Free Download

 


no reviews yet
Please Login to review.

Kategori: Makalah Laporan Dunia Pendidikan / Topik Lainnya
Upload: 12 Aug 2022 | 4 thn lalu
Tags: makalah konsep dasar keperawatan
dilihat: 420x
Link rekomendasi: filekonstruksi.com