jagomart
digital resources
picture 19 File Rumusan Masalah Pdf | Download Kumpulan Referensi

19 File Rumusan Masalah Pdf | Download Kumpulan Referensi


Diposting 11 Aug 2022 | 4 thn lalu
Halaman ini terdiri dari kumpulan file rumusan masalah pdf yang bisa didownload saat ini. Sebagai referensi file terkait contoh makalah rumusan masalah,rumusan masalah prakerin.

.  509x 
 Tipe kumpulan file
Copy Link https://jagomart.net/item/37072/download-kumpulan-file-rumusan-masalah-pdf
Daftar 19 File Rumusan Masalah Pdf | Download Kumpulan Referensi :
1. Rumusan Masalah Pdf 15047 | Daftar Isi
picture Rumusan Masalah Pdf 15047 | Daftar Isi
IR – PERPUSTAKAAN UNIVERSITAS AIRLANGGA DAFTAR ISI HALAMAN JUDUL ................................................ i HALAMAN PERNYATAAN TIDAK MELAKUKAN PLAGIAT ........... ii LEMBAR PERSETUJUAN.......................................... iii LEMBAR PENGESAHAN .......................................... iv PEDOMAN PENGGUNAAN TUGAS AKHIR .......................... v KATA PENGANTAR .............................................. vi ABSTRACT ..................................................... viii ABSTRAK ....................................................... ix DAFTAR ISI ...................................................... x DAFTAR TABEL ................................................ xiii ...
Tipe file : icon picture PDF | 0.12 MB | Free Download

 


2. Rumusan Masalah Pdf 26689 | Modul Riset Pemasaran
picture Rumusan Masalah Pdf 26689 | Modul Riset Pemasaran
DIKTAT MATA KULIAH RISET PEMASARAN Disusun Oleh: SUNARTA,SE,MM PROGRAM STUDI PEMASARAN DIPLOMA 3 JURUSAN MANAJEMEN FISE UNY 2007 1 DAFTAR ISI HALAMAN JUDUL ……………………………………&hellip ...
Tipe file : icon picture PDF | 0.37 MB | Free Download

 


picture Laporan Pdf 33900 | Makalah Penyajian Laporan Keuangan
PENYAJIAN LAPORAN KEUANGAN PEMERINTAHAN (Siswati Wardiningdyah – JF APKAPBN) Jakarta, 18 April 2022 I. PENDAHULUAN A. Latar Belakang Laporan keuangan adalah suatu penyajian terstruktur dari posisi keuangan dan kinerja keuangan suatu entitas. Catatan informasi keuangan suatu perusahaan pada suatu periode ...
Tipe file : icon picture PDF | 0.38 MB | Free Download

 


picture File - Laporan Penelitian Id 21744 | Ueu Research 10159 16 0192
Kode/Nama Rumpun Ilmu : 708/Desain Produk Bidang Fokus : Bidang IV. Pengembangan Teknologi dan Manajemen Transportasi LAPORAN PENELITIAN HIBAH INTERNAL HASIL BENTUK PENAWARAN JASA ESA DESIGN CENTER KEPADA PT. ADHI KARYA DALAM PROYEK DESAIN MONORAIL SOEKARNO-HATTA KETUA PENELITI Geggy Gamal ...
Tipe file : icon picture PDF | 3.54 MB | Free Download

 


picture Laporan Pdf 415 | Laporan Praktikum Biologi Pertumbuhan Kacang Hijau
Laporan Praktikum Biologi : “Pengaruh Cahaya terhadap Pertumbuhan Kacang Hijau” Kelompok : 1 Aditya Dedi Setyawan 2 Ilhamsyah Dwi Kurniawan P 3 Junita Putri 4 Kezia Angelica Suharto 5 Michael Sugita Daftar Isi Bab I Pendahuluan 1.1 Latar ...
Tipe file : icon picture PDF | 0.22 MB | Free Download

 


picture Makalah Pdf 2101 | Makalah Karya Sastra Indonesia
KARYA SASTRA INDONESIA MAKALAH Dibuat untuk Memenuhi Salah Satu Nilai Mata Kuliah Teknik Informatika Dosen : Tedi Sukmara ST Disusun Oleh : Nama: Dadi Rosmawan NIM : 2108090049 Kelas : 1D Prodi : DIKSATRASIA Fakultas Keguruan dan Ilmu Pendidikan Pendidikan ...
Tipe file : icon picture PDF | 0.29 MB | Free Download

 


picture Tugas Mini Riset Ekonometrika Uk 4 | File - Mini Riset Id 15548
TUGAS MINI RISET EKONOMETRIKA KELAS A, B, C, E DAN F Selesaikan tugas mini riset Saudara dengan susunan sebagai berikut : 1. Latar Belakang Masalah 2. Rumusan Masalah 3. Tujuan Penelitian 4. Kerangka Teori 5. Penelitian Terdahulu 6. Model Ekonometrika ...
Tipe file : icon picture PDF | 0.25 MB | Free Download

 


picture Rumusan Masalah Pdf 20685 | 25116025 2 230711
x DAFTAR ISI LEMBAR PENGESAHAN .......................................... i HALAMAN PERNYATAAN ORISINILITAS ......................... ii HALAMAN PERNYATAAN PERSETUJUAN PUBLIKASI TUGAS AKHIR UNTUK KEPENTINGAN AKADEMIS .............................. iii ABSTRAK ...................................................... iv ABSTRACT ...................................................... v MOTTO ........................................................ vi PERSEMBAHAN ................................................ vii KATA PENGANTAR ............................................. ix DAFTAR ISI ..................................................... x DAFTAR TABEL ............................................... xiv DAFTAR GAMBAR ............................................. xvi ...
Tipe file : icon picture PDF | 0.09 MB | Free Download

 


picture Rumusan Masalah Pdf 21396 | Daftar Isi
ADLN - PERPUSTAKAAN UNIVERSITAS AIRLANGGA DAFTAR ISI HALAMAN DEPAN…………………………..………….……………………... i LEMBARAN JUDUL…………………&hellip ...
Tipe file : icon picture PDF | 0.30 MB | Free Download

 


picture Laporan Pdf 1586 | Makalah Teknik Pemesinan Mesin Frais
MAKALAH TEKNIK PEMESINAN MESIN FRAIS Laporan Ini Disusun untuk Memenuhi Tugas Mata Kuliah Teori Pemesinan PTM C1 Disusun Oleh: Muhamad Biworo 21503241033 PROGRAM STUDI S1 PENDIDIKAN TEKNIK MESIN FAKULTAS TEKNIK UNIVERSITAS NEGERI YOGYAKARTA 2021 KATA PENGANTAR Puji dan syukur penulis ...
Tipe file : icon picture PDF | 1.11 MB | Free Download

 


picture Rumusan Masalah Pdf 8125 | Pembelajaran Resiprokal | Matematika
UPAYA MENINGKATKAN PENCAPAIAN BELAJAR MAHASISWA PADA PERKULIAHAN KAPITA SELEKTA MATEMATIKA SEKOLAH MELALUI PEMBELAJARAN RESIPROKAL TIM PENELITI : WAHYUDIN, KUSNANDI DAN TIA PURNIATI Jurusan Pendidikan Matematika RUMUSAN MASALAH TUJUAN: Memperoleh gambaran empirik tentang 1. Bagaimanakah pencapaian belajar mahasiswa pada 1. Variasi ...
Tipe file : icon picture PDF | 0.03 MB | Free Download

 


picture 120819 Id Peningkatan Kemampuan Menulis Surat Prib | File - Surat Pribadi Id 15518
Jurnal Kreatif Tadulako Online Vol. 5 No. 3 ISSN 2354-614X Peningkatan Kemampuan Menulis Surat Pribadi Melalui Metode Latihan Terbimbing Siswa Kelas V SD Inpres Tomoli Selatan Risnawati M. Kasili, Saharudin Barasandji, dan Ulfah Mahasiswa Program Guru Dalam Jabatan Fakultas Keguruan ...
Tipe file : icon picture PDF | 0.09 MB | Free Download

 


picture Laporan Penlitian Dosmud 2019 | File - Laporan Penelitian Id 19129
PENELITIAN DOSEN MUDA LAPORAN PENELITIAN PEMANFAATAN MEDIA KOMIK DALAM PEMBELAJARAN SEJARAH ASIA BARAT MODERN Diajukan kepada Lembaga Penelitian dan Pengabdian kepada Masyarakat Universitas Sanata Dharma Oleh: Brigida Intan Printina, M.Pd PROGRAM STUDI PENDIDIKAN SEJARAH JURUSAN PENDIDIKAN ILMU PENGETAHUAN SOSIAL ...
Tipe file : icon picture PDF | 5.00 MB | Free Download

 


picture Edy Widodo Laporan Penelitian Penerapan Regresi M Untuk Pemodelan Ketahanan Pangan Jawa Tengah Tahun 2014 | File - Laporan Penelitian Id 19166
LAPORAN PENELITIAN PENERAPAN REGRESI-M UNTUK PEMODELAN KETAHANAN PANGAN JAWA TENGAH TAHUN 2014 Diusulkan Oleh: Dr. Edy Widodo, S.Si., M.Si Luthfi Yuliana Utami PROGRAM STUDI STATISTIKA FAKULTAS MATEMATIKA DAN ILMU PENGETAHUAN ALAM UNIVERSITAS ISLAM INDONESIA YOGYAKARTA 2016 DAFTAR ISI ...
Tipe file : icon picture PDF | 1.96 MB | Free Download

 


picture Rumusan Masalah Pdf 20694 | 04171055 Chapter 1
BAB I PENDAHULUAN Pendahuluan merupakan bagian dari sebuah karya tulis yang memuat tentang alasan dilakukannya sebuah penelitian. Pada pendahuluan tugas akhir ini berisi penjelasan mengenai latar belakang, rumusan masalah, tujuan penelitian, batasan masalah, manfaat penelitian, dan kerangka penelitian. 1.1 ...
Tipe file : icon picture PDF | 0.44 MB | Free Download

 


picture Rencana Anggaran Biaya 20729 | Daftar Isi
DAFTAR ISI HALAMAN JUDUL ............................................... i USULAN PENELITIAN ............................................ ii HALAMAN PENGESAHAN ........................................ iii BERITA ACARA BIMBINGAN TUGAS AKHIR ....................... iv PERNYATAAN BEBAS PLAGIASI ................................. v PERNYATAAN KEASLIAN ........................................ vii MOTTO ......................................................... ix PERSEMBAHAN .................................................. x KATA PENGANTAR .............................................. xii DAFTAR ISI ..................................................... xiii DAFTAR TABEL ................................................. xvii DAFTAR GAMBAR ............................................... xix ...
Tipe file : icon picture PDF | 0.20 MB | Free Download

 


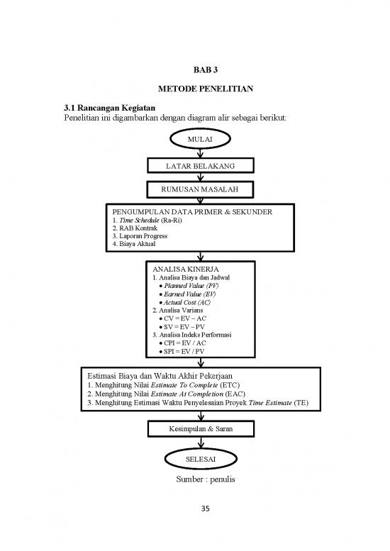
picture Laporan Pdf 20739 | Bab 3 Item Download 2022-07-25 09-12-01
BAB 3 METODE PENELITIAN 3.1 Rancangan Kegiatan Penelitian ini digambarkan dengan diagram alir sebagai berikut: MULAI LATAR BELAKANG RUMUSAN MASALAH PENGUMPULAN DATA PRIMER & SEKUNDER 1. Time Schedule (Ra-Ri) 2. RAB Kontrak 3. Laporan Progress 4. Biaya Aktual ...
Tipe file : icon picture PDF | 0.63 MB | Free Download

 


picture File - Laporan Praktikum Id 21039 | Jurnal
ANALISIS KESALAHAN BERBAHASA DALAM LAPORAN PRAKTIKUM MAHASISWA S.1 JURUSAN PMIPA FKIP UNIVERSITAS MATARAM DAN KAITANNYA DENGAN PEMBELAJARAN BAHASA INDONESIA DI SMA/MA ABSTRAK Penelitian ini merupakan kajian tentang kesalahan berbahasa yang terdapat dalam laporan praktikum mahasiswa S.1 Jurusan PMIPA ...
Tipe file : icon picture PDF | 0.43 MB | Free Download

 


picture Makalah Pdf 970 | Makalah Kepemimpinan And Pengambilan Keputusan
MAKALAH KEPEMIMPINAN & PENGAMBILAN KEPUTUSAN FAKULTAS EKONOMI MANAGEMENT UNIVERSITAS NAROTAMA SURABAYA DISUSUN OLEH : SYECH BAFAQIH 01214151 Jl. Arif Rahman Hakim No.51, Klampis Ngasem, Sukolilo, Kota SBY, Jawa Timur 60117 KATA PENGANTAR Puji dan syukur saya panjatkan kehadirat ...
Tipe file : icon picture PDF | 0.09 MB | Free Download

 


no reviews yet
Please Login to review.

Kategori: Makalah Laporan Dunia Pendidikan / Topik Lainnya
Upload: 11 Aug 2022 | 4 thn lalu
Tags: contoh makalah rumusan masalah,rumusan masalah prakerin
dilihat: 509x
Link rekomendasi: filekonstruksi.com