jagomart
digital resources
picture 13 File Contoh Rancangan Anggaran Belanja | Download Kumpulan Referensi

13 File Contoh Rancangan Anggaran Belanja | Download Kumpulan Referensi


Diposting 11 Aug 2022 | 4 thn lalu
Halaman ini terdiri dari kumpulan file contoh rancangan anggaran belanja yang bisa didownload saat ini.

.  610x 
 Tipe kumpulan file
Copy Link https://jagomart.net/item/36230/download-kumpulan-file-contoh-rancangan-anggaran-belanja
Daftar 13 File Contoh Rancangan Anggaran Belanja | Download Kumpulan Referensi :
1. Contoh Rancangan Anggaran 20552 | Perdes Apbdes 2021
picture Contoh Rancangan Anggaran 20552 | Perdes Apbdes 2021
PERBEKEL MENYALI KABUPATEN BULELENG PERATURAN DESA MENYALI NOMOR 8 TAHUN 2020 TENTANG ANGGARAN PENDAPATAN DAN BELANJA DESA MENYALI TAHUN ANGGARAN 2021 DENGAN RAHMAT TUHAN YANG MAHA ESA PERBEKEL MENYALI, Menimbang : a. bahwa Anggaran Pendapatan dan Belanja Desa sebagai wujud dari pengelolaan keuangan Desa dilaksanakan secara terbuka dan bertanggung jawab ...
Tipe file : icon picture PDF | 2.49 MB | Free Download

 


2. Contoh Rancangan Anggaran 21333 | Perdes Perubahan Apbde2022
picture Contoh Rancangan Anggaran 21333 | Perdes Perubahan Apbde2022
PERATURAN DESA PRANTI NOMOR 01 TAHUN 2022 TENTANG PERUBAHAN ATAS PERATURAN DESA PRANTI NOMOR 06 TAHUN 2021 TENTANG ANGGARAN PENDAPATAN DAN BELANJA DESA PRANTI TAHUN ANGGARAN 2022 DESA PRANTI KECAMATAN SEDATI KABUPATEN SIDOARJO PERATURAN DESA PRANTI NOMOR 01 TAHUN 2022 TENTANG PERUBAHAN ATAS PERATURAN DESA PRANTI NOMOR 06 TAHUN 2021 ...
Tipe file : icon picture DOC - Word | 0.29 MB | Free Download

 


picture Lpj - Laporan Pertanggungjawaban Id 22975 | Laporan Pertanggungjawaban Apbdes 2020 Desa Mayang 2021 9lwuf
SALINAN PERATURAN DESA MAYANG NOMOR 1 TAHUN 2021 TENTANG LAPORAN PERTANGGUNGJAWABAN REALISASI PELAKSANAAN ANGGARAN PENDAPATAN DAN BELANJA DESA TAHUN ANGGARAN 2020 DENGAN RAHMAT TUHAN YANG MAHA ESA KEPALA DESA MAYANG, Menimbang : a. bahwa sesuai dengan ketentuan Pasal 22 Peraturan Bupati Sukoharjo Nomor 39 Tahun 2015 tentang Pedoman Pengelolaan Keuangan ...
Tipe file : icon picture PDF | 0.18 MB | Free Download

 


picture Format Nota Excel 21690 | Lampir~2 Xls
NO JENIS ARSIP JANGKA WAKTU PENYIMPANAN KETERANGAN AKTIF IN AKTIF 1 2 3 4 5 B FUNGSI KEUANGAN A RENCANA ANGGARAN PENDAPATAN DAN BELANJA DAERAH (RAPBD) DAN ANGGARAN PENDAPATAN DAN BELANJA DAERAH PERUBAHAN (APBDP) 1 Penyusunan Prioritas Plafon Anggaran (PPA) a Kebijakan Umum, Renstra, Strategi dan Prioritas 2 Tahun setelah ...
Tipe file : icon picture XLS - Excel | 0.06 MB | Free Download

 


picture Rancangan Apbdes 2018 (2)
PERBEKEL GALUNGAN KABUPATEN BULELENG PERATURAN DESA GALUNGAN NOMOR TAHUN 2017 TENTANG ANGGARAN PENDAPATAN DAN BELANJA DESA TAHUN ANGGARAN 2018 DENGAN RAHMAT TUHAN YANG MAHA ESA PERBEKEL GALUNGAN, Menimbang a bahwa sesuai dengan ketentuan Pasal 101 Peraturan Pemerintah Nomor 43 Tahun 2014 tentang Peraturan Pelaksanaan UndangUndang Nomor 6 Tahun 2014 tentang ...
Tipe file : icon picture XLS - Excel | 0.91 MB | Free Download

 


picture Contoh Rancangan Anggaran 4850 | Penatausahaan Dan Pertanggungjawaban Apbn Apbd
PENATAUSAHAAN APBN DASAR HUKUM : UU No.17 tahun 2003 tentang keuangan Negara UU No.1 tahun 2004 tentang perbendaharaan Negara PP 71 tahun 2010 tentang standar Akuntansi Pemerinta PERTANGGUNGJAWABAN APBN Untuk melaksanakan pertanggungjawaban dalam pelaksanaan Anggaran Pendapatan dan Belanja Negara dan Anggaran Pendapatan dan Belanja Daerah Undang-undang Keuangan Negara ...
Tipe file : icon picture PPT - Power Point | 0.10 MB | Free Download

 


picture Contoh Rancangan Anggaran 20940 | Rapbdes 2019
RANCANGAN ANGGARAN PENDAPATAN DAN BELANJA DESA PEMERINTAH DESA SIRKANDI TAHUN ANGGARAN 2019 KODE REKENING URAIAN ANGGARAN SUMBER DANA 1 2 3 4 5 a b c a b 4 PENDAPATAN 596.566.250 4 1 Pendapatan Asli Desa 88.375.000 PADesa 4 2 Transfer - DD/ADD/APBD 1/APBD 2 Swadaya/Bung ...
Tipe file : icon picture PDF | 0.21 MB | Free Download

 


picture Contoh Rancangan Anggaran 9787 | Rancangan  Anggaran  Pendapatan  Dan  Belanja  Desa Apbdes 2020 | Sipil Dan Konstruksi
Lampiran Peraturan Petinggi Guwosobokerto Nomor 2 Tahun 2019 Tentang Penjabaran Anggaran Pendapatan Dan Belanja Desa Guwosobokerto TA 2020 RANCANGAN ANGGARAN PENDAPATAN DAN BELANJA DESA PEMERINTAH DESA GUWOSOBOKERTO TAHUN ANGGARAN 2020 KODE REKENING HARGA ANGGARAN a b c D URAIAN SATUAN VOLUME SATUAN ( RP ) SUMBER 4 PENDAPATAN 1,711 ...
Tipe file : icon picture XLS - Excel | 0.11 MB | Free Download

 


picture Presentasi Usaha 20372 | Rapbdes Gdsari  2016 Revisi 6
URAIAN ANGGARAN (Rp) 2 3 PENDAPATAN 2,926,119,782 PENDAPATAN ASLI DESA 413,870,882 Hasil Usaha Desa 356,163,118 Hasil Aset Desa 4,810,000 Swadaya, Partisipasi dan Gotong royong Lainlain PADesa yang sah 52,897,764 PENDAPATAN DANA TRANSFER 2,505,998,900 Dana Desa (DD) ...
Tipe file : icon picture XLS - Excel | 0.73 MB | Free Download

 


picture Lpj - Laporan Pertanggungjawaban Id 23016 | Kak3 Item Download 2022-07-30 02-30-05
KERANGKA ACUAN KERJA PENYUSUNAN LAPORAN PERTANGGUNGJAWABAN PELAKSANAAN (LPP) ANGGARAN PENDAPATAN DAN BELANJA DAERAH (APBD) 1. LATAR BELAKANG Dalam pelaksanaan kewenangan Pemerintah Daerah sebagaimana ditetapkan dalam Undang-undang Nomor 23 Tahun 2014 tentang Pemerintahan Daerah, yang diikuti dengan perimbangan Keuangan antara Pemerintah Pusat dan Pemerintah Daerah sebagaimana diatur dalam Undang-undang Nomor 33 ...
Tipe file : icon picture DOCX - Word | 0.05 MB | Free Download

 


picture Xlsx Software Download 20633 | Rab Item Download 2022-07-25 08-18-02
RANCANGAN ANGGARAN BELANJA PENDIRIAN APOTEK NAMA ITEM JML MEUBELER 1 RAK OBAT DAFTAR G 3 2 RAK OBAT SIRUP 1 3 RAK OBAT SWALAYAN 2 4 RAK OBAT NARKOTIKA 1 5 MEJA ADMINISTRASI 1 6 MEJA PERACIKAN 1 7 MEJA COUNTER 1 8 KURSI TUNGGU 1 9 KURSI ADMINISTRASI 1 ...
Tipe file : icon picture XLS - Excel | 0.02 MB | Free Download

 


picture File - Surat Keterangan Id 20944 | Drk Apbdes 2018
Sheet 1 APBDEs Lampiran Peraturan Desa Rancamanyar Nomor 10 Tahun 2017 RANCANGAN ANGGARAN PENDAPATAN DAN BELANJA DESA PEMERINTAH DESA RANCAMANYAR TAHUN ANGGARAN 2018 KODE REKENING URAIAN ANGGARAN (Rp) KET 1 2 3 4 1 PENDAPATAN 1 1 Pendapatan Asli Desa 1 1 1 Hasil Usaha 1 1 2 Hasil Tanah ...
Tipe file : icon picture XLS - Excel | 0.07 MB | Free Download

 


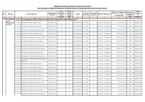
picture Contoh Rancangan Anggaran 20939 | Rapbdesa 2022
LAMPIRAN RANCANGAN APBDESA TAHUN ANGGARAN 2022 DESA SIRKANDI KECAMATAN PURWAREJA KLAMPOK KABUPATEN BANJARNEGARA PROPINSI JAWA TENGAH Data Target Biaya dan Sumber Pembiayaan Pola No Bidang Jenis Kegiatan Mendukung Eksisting Capaian Lokasi Volume Penerima Waktu Pelaksanaan Pelaksana SDGs ke- Tahun Tahun & Satuan manfaat Jumlah (Rp) Sumber an Berjalan 2022 ...
Tipe file : icon picture PDF | 0.41 MB | Free Download

 


no reviews yet
Please Login to review.

Kategori: Rencana Anggaran Biaya / Rab Lainnya
Upload: 11 Aug 2022 | 4 thn lalu
Tags: 0
dilihat: 610x
Link rekomendasi: filekonstruksi.com