jagomart
digital resources
picture 19 Financial Statement Excel Template Free Download Files | Download Free Collection Files

19 Financial Statement Excel Template Free Download Files | Download Free Collection Files


Posted on 08 Aug 2022 | 4 years ago
Download free financial statement excel template free download files. As a reference file related to the financial statement excel format free download,microsoft excel financial statement template.

.  537x 
 file set type 
Copy Link https://jagomart.net/item/32640/free-download-collection-files-financial-statement-excel-template-free-download
List of 19 Financial Statement Excel Template Free Download Files | Download Free Collection Files.
1. Excel Sheet Download 12146 | Ccab Tfab Mnp Cashflow And Income Statement Tool Draft 5 5 2016 1 | Business Form Tools
picture Excel Sheet Download 12146 | Ccab Tfab Mnp Cashflow And Income Statement Tool Draft 5 5 2016 1 | Business Form Tools
Sheet 1 Tab 1 Cover Sheet Canadian Council for Aboriginal Business (CCAB) Cash Flow and Income Statement Template MNP LLP Thank you for selecting MNP's Cash Flow and Income Statement template This tool contains both a Cash Flow Statement ...
Filetype : icon picture XLS - Excel | 0.16 MB | Free Download

 


2. Excel Sheet Download 30946 | Form 16 Generator (blank) With 3 In 1 Calculator Fy 2018 19
picture Excel Sheet Download 30946 | Form 16 Generator (blank) With 3 In 1 Calculator Fy 2018 19
Sheet 1 Home 3 in1 Latest Form16 Generator, Auto Income Tax Calculator & salary statement for Financial year 2018 19 Assessment Year 201920 IncomeTax & GST Practitioner BPChoudhary Prepare Salary statement, Computation sheet &amp ...
Filetype : icon picture XLS - Excel | 0.59 MB | Free Download

 


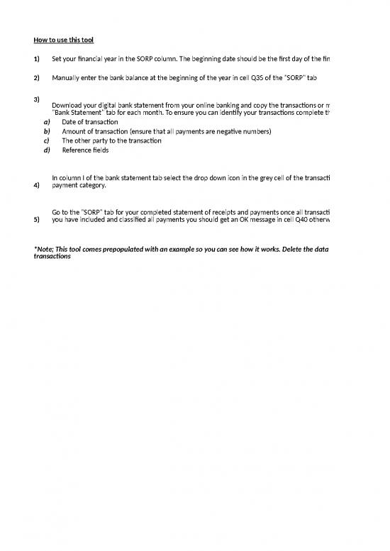
picture Excel Statement Template Free Download 31023 | Automatic Cash Book V2
How to use this tool 1) Set your financial year in the SORP column The beginning date should be the first day of the financial year while the ending date should be the last day of your financial year 2) ...
Filetype : icon picture XLS - Excel | 0.53 MB | Free Download

 


picture Excel Sheet Download 30808 | 2013 2014 Sbe Gold Certification Crosswalk
Sheet 1 All Standards STANDARD 1 FINANCIAL ANALYSIS CONTENTAREA PerformanceIndicator Page # Mandatory Performance Indicators ________________________________________________________________________________ • Explain the nature of balance sheets Operations MF10n5m 80b Example Include balance sheet and explain its significance to your SBE & ...
Filetype : icon picture XLS - Excel | 0.04 MB | Free Download

 


picture Excel Sheet Download 30768 | Financial Statements Template
Sheet 1 Example Profit & Loss Example profit and loss statement What is a profit and loss statement?The profit and loss statement is a summary of a business’s income and expenses over a specific ...
Filetype : icon picture XLS - Excel | 0.30 MB | Free Download

 


picture Excel Sheet Download 31127 | Exporter Questionnaire Spreadsheet   Both 486 And 489
Sheet 1 A5 income statement INSERT COMPANY NAME INCOME STATEMENT Most recent completed financial year Review period (1 July 2017 to 30 June 2018) All products Goods subject to measures All products Goods subject to measures Gross Sales (1) Sales ...
Filetype : icon picture XLS - Excel | 0.06 MB | Free Download

 


picture Excel Sheet Download 30787 | 2021 Balance Sheet Template
Sheet 1 Summary Please see tab 2, titled "Balance Sheet," to review the balance sheet template The balance sheet presents an organization's financial position at the end of a specified date Some describe ...
Filetype : icon picture XLS - Excel | 0.03 MB | Free Download

 


picture Account Template Excel Free Download 7330 | C2 Format - Standar Format
THE SECOND SCHEDULE TO THE BANKING COMPANIES ORDINANCE, 1962 (See Section 34) STATEMENT OF FINANCIAL POSITION AS AT ____________ Note (Current Year) (Prior Year) Rupees in '000 ASSETS Cash and balances with treasury banks 5 xxxxxxxx xxxxxxxx Balances with ...
Filetype : icon picture XLS - Excel | 0.47 MB | Free Download

 


picture Excel Sheet Download 30806 | Annex Item Download 2022-08-08 03-54-12
Sheet 1 Covid Impact Assessment WSP Financial Projections Period 2021 Name of WSP Sample WSP Name of Contact Person Finance Contact Tel and Email Address Opening month 6 Enter month number Currency IDR Please enter data in blue cells in ...
Filetype : icon picture XLS - Excel | 0.08 MB | Free Download

 


picture Excel Sheet Download 30814 | 2 Case Study Kangan Ledger Accounts
Sheet 1 Introduction ICGFM Foundation Course in Public Financial Management Module 3 Templates for the KANGAN case study The pages in this workbook contain templates for the KANGAN case study in Workbook 3 Students should insert the figures into the ...
Filetype : icon picture XLS - Excel | 0.04 MB | Free Download

 


picture Excel Sheet Download 30918 | Bpa Roles Fin With Formulas 21214
Finance Business Processes Who is currently General Ledger Step PeopleSoft Role filling role? Post Journals and Update Ledger Balance Edit Journal Entries Post Journal process ensures that amounts Submit journal entry for approval General Ledger Accountant in the journals are ...
Filetype : icon picture XLS - Excel | 0.18 MB | Free Download

 


picture Excel Sheet Download 31028 | Reconcilliations Approvals Clapham Pc For Meeting 21f
Sheet 1 Bank Reconciliation 30921 Financial Year Ending 31 March 2022 Clapham Parish Council £ £ Balances per bank statement at 30921 Cash Book at 30921 £ Community Acct Bal 9,68092 Cash Book ...
Filetype : icon picture XLS - Excel | 0.05 MB | Free Download

 


picture Excel Sheet Download 31137 | Record Keeping Guide For Gst Registered Businesses Appendices
Sheet 1 P&L StatementAppx 1A Record Keeping Guide for GSTRegistered Businesses Appendix 1A Profit and Loss Statement Name of Business Taxpayer Registration Number For Financial Year $ $ REVENUE (Total Sales Income) Box 1 Cost of Goods ...
Filetype : icon picture XLS - Excel | 0.07 MB | Free Download

 


picture Excel Sheet Download 31199 | Finance Requirements Fmis
Sheet 1 General Ledger The general ledger and fund accounting module should be a fund based application that will accumulate and compile the transaction data necessary for financial statement preparation, including compliance with GASB34 reporting requirements The system must maintain ...
Filetype : icon picture XLS - Excel | 0.09 MB | Free Download

 


picture Excel Statement Template Free Download 31546 | National Infrastructure And Construction Procurement Pipeline Summer 2020
Sheet 1 Introduction National Infrastructure and Construction Procurement Pipeline Summer 2020 This workbook contains the infrastructure and construction procurement pipeline that has been compiled by the government The overall pipeline is not a statement of need or a commitment to ...
Filetype : icon picture XLS - Excel | 0.21 MB | Free Download

 


picture Financial Statement Excel Template Free Download 12024 | Personalfinancialstatement | Business Form Tools
INSERT COMPANY NAME PERSONAL FINANCIAL STATEMENT PERSONAL FINANCIAL STATEMENT Address 1 wwwnasbporgtoolkit Address 2 City, State, Zip Phone (XXX) XXXXXXX Fax (XXX) XXXXXXX Web httpwwwwebsitecom Date Prepared MMDDYY SECTION 1 PERSONAL INFORMATION Full Name Date of Birth MMDDYY SSN ######### ...
Filetype : icon picture XLS - Excel | 0.10 MB | Free Download

 


picture Financial Statement Excel Template Free Download 12101 | Personal Financial Statement Nasbp | Business Form Tools
Smith Brothers Insurance, Inc PERSONAL FINANCIAL STATEMENT PERSONAL FINANCIAL STATEMENT 68 National Drive wwwnasbporgtoolkit Glastonbury, CT 06033 Phone (860) 6523235 Fax (860) 6520327 Web httpwwwSmithBrothersUSAcom Date Prepared SECTION 1 PERSONAL INFORMATION Full Name Date of Birth SSN Spouse Name Date ...
Filetype : icon picture XLS - Excel | 0.12 MB | Free Download

 


picture Financial Statement Excel Template Free Download 12187 | Nasbp Personal Financial Statement | Business Form Tools
GUNNMOWERY, LLC PERSONAL FINANCIAL STATEMENT PERSONAL FINANCIAL STATEMENT nasbporgtoolkit PO Box 900 Camp Hill, PA 170010900 Phone (717) 7614600 Fax (717) 7616159 Web httpwwwgunnmowerycom Date Prepared SECTION 1 PERSONAL INFORMATION Full Name Date of Birth MMDDYY SSN ######### Spouse Name ...
Filetype : icon picture XLS - Excel | 0.10 MB | Free Download

 


picture Financial Statement Excel Template Free Download 12215 | Pfs Item Download 2022-07-07 20-30-05 | Business Form Tools
NEWTON BONDING PERSONAL FINANCIAL STATEMENT PERSONAL FINANCIAL STATEMENT Nick Newton nasbporgtoolkit 5620 Memorial Avenue North Suite E Stillwater, MN 55082 Phone (651)3421480 Fax (651) 3421763 Web httpwwwNEWTONBONDINGcom Date Prepared SECTION 1 PERSONAL INFORMATION Full Name Date of Birth SSN Spouse ...
Filetype : icon picture XLS - Excel | 0.10 MB | Free Download

 


belum ada komentar
Please Login to post comment.

no reviews yet
Please Login to review.

Category: Standard Format / Excel Format
Upload at: 08 Aug 2022 | 4 years ago
Tags: financial statement excel format free download,microsoft excel financial statement template
views: 537x
Link recommended: filekonstruksi.com