jagomart
digital resources
picture 4 Fourier Series Solved Examples Files | Download Free Collection Files

4 Fourier Series Solved Examples Files | Download Free Collection Files


Posted on 01 Feb 2023 | 3 years ago
Download free fourier series solved examples files.

.  428x 
 file set type 
Copy Link https://jagomart.net/item/184484/free-download-collection-files-fourier-series-solved-examples
List of 4 Fourier Series Solved Examples Files | Download Free Collection Files.
1. Fourier Series Solved Examples 175481 | Fourier
picture Fourier Series Solved Examples 175481 | Fourier
Introduction Fourier Sine and Cosine Series Dierentiation of Fourier Series Method of Eigenfunction Expansion Math 531 - Partial Dierential Equations Fourier Series Joseph M. Mahay, hjmahaffy@mail.sdsu.edui Department of Mathematics and Statistics Dynamical Systems Group Computational Sciences Research Center San Diego State University San Diego, CA 92182-7720 http://jmahay.sdsu.edu Spring 2020 Joseph M. Mahay, hjmahaffy@mail.sdsu.edui Fourier Series —(1/44) Introduction Fourier Sine and Cosine Series Dierentiation of Fourier Series Method of Eigenfunction Expansion Outline 1 Introduction Denitions Convergence Theorem Example 2 Fourier Sine and Cosine Series Gibbs Phenomenon Continuous Fourier Series 3 Dierentiation of Fourier Series ...
Filetype : icon picture PDF | 0.67 MB | Free Download

 


2. Solved Problems Pdf 175591 | Em2r3 Item Download 2023-01-28 09-32-15
picture Solved Problems Pdf 175591 | Em2r3 Item Download 2023-01-28 09-32-15
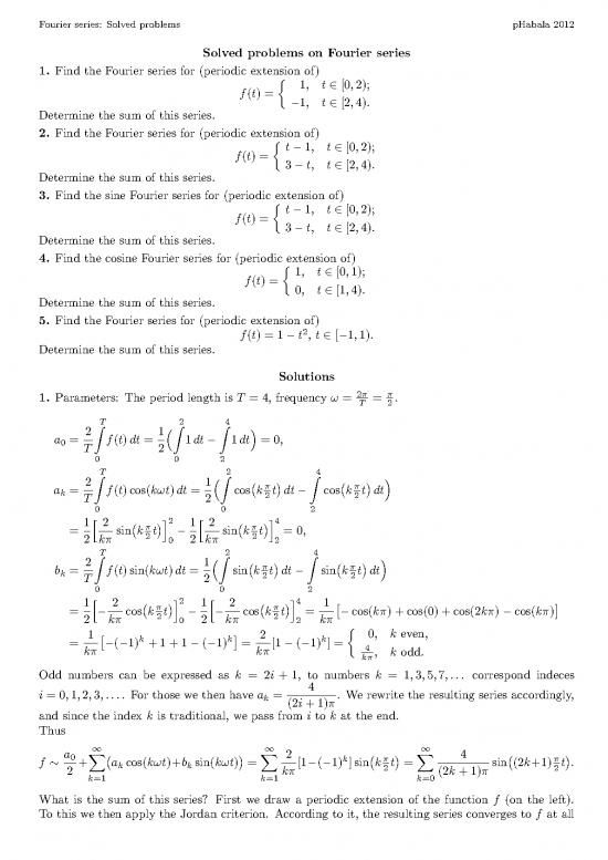
Fourier series: Solved problems pHabala 2012 Solved problems on Fourier series 1. Find the Fourier series for (periodic extension of) f(t) =  1, t ∈ [0,2); Determine the sum of this series. −1, t∈[2,4). 2. Find the Fourier series for (periodic extension of) f(t) =  t−1, t ∈ [0,2); Determine the sum of this series. 3−t, t∈[2,4). 3. Find the sine Fourier series for (periodic extension of) f(t) =  t−1, t ∈ [0,2); Determine the sum of this series. 3−t, t∈[2,4). 4. Find ...
Filetype : icon picture PDF | 0.15 MB | Free Download

 


picture Solved Problems Pdf 175895 | 1103044245
SUMMABLE TRIGONOMETRIC SERIES R. D. JAMES l Introduction. One of the problems in the theory of trigono- metric series in the form (1.1) -—OD + ΣzyxwvutsrqponmlkjihgfedcbaZYXWVUTSRQPONMLKJIHGFEDCBA {an cos nx + b  sin nx) = Σ «n(aθ n is that of suitably defining a process of integration such that, if the series (1.1) converges to a function f(x), then f(x) is integrable and the coefficients a  b  are given in Fourier form. The problem has been nf n solved by Denjoy [3], Verblunsky [10],  ...
Filetype : icon picture PDF | 1.04 MB | Free Download

 


picture Calculus Pdf 170502 | Some Very Challenging Calculus Problems 2
SOMEVERYCHALLENGINGCALCULUSPROBLEMS Joseph Breen Here are two difcult calculus problems, solved using only (sophisticated and clever applications of) elementary calculus. In particular, there is no complex analysis or use of the residue theorem, Fourier series, or anything like that. Both problems were the basis for talks given at the UCLA GSO Seminar. The integral is the concatenation of two integrals from [3]. The innite series was originally evaluated byothermethodsin[2],andthesolutionpresentedbelowisinspiredbythesolutionfrom[4],togetherwith other computations found on the internet and my own computational decisions. Contents 1 AReallyHardIntegral 1 2 AReallyHardInniteSeries 6 1 AReallyHardIntegral Theintegral we will evaluate is Z π   I ...
Filetype : icon picture PDF | 0.22 MB | Free Download

 


belum ada komentar
Please Login to post comment.

no reviews yet
Please Login to review.

Category: Standard Format / Pdf Format
Upload at: 01 Feb 2023 | 3 years ago
Tags: 0
views: 428x
Link recommended: filekonstruksi.com