jagomart
digital resources
picture 15 Jacobian Transformation Pdf Files | Download Free Collection Files

15 Jacobian Transformation Pdf Files | Download Free Collection Files


Posted on 28 Jan 2023 | 3 years ago
Download free jacobian transformation pdf files.

.  127x 
 file set type 
Copy Link https://jagomart.net/item/177197/free-download-collection-files-jacobian-transformation-pdf
List of 15 Jacobian Transformation Pdf Files | Download Free Collection Files.
1. Matrix Pdf 171631 | Jacobian
picture Matrix Pdf 171631 | Jacobian
Lecture 5: Jacobians • In 1D problems we are used to a simple change of variables, e.g. from x to u 1D Jacobian maps strips of width dx to strips of width du • Example: Substitute 2D Jacobian • For a continuous 1-to-1 transformation from (x,y) to (u ...
Filetype : icon picture PDF | 1.28 MB | Free Download

 


2. Matrix Pdf 174569 | Lecture16
picture Matrix Pdf 174569 | Lecture16
University of Ottawa ELG3121 — Random Signals and Systems June 9th 2006 afternoon lecture. Authors: James Townsend, Chen-Yu Hsieh, Huang-Li Chen 1 Jacobian of a Transformation Let transformation (V,W) = g(x,y) be expressed as  V = g (x,y) 1 W=g(x,y) 2 The Jacobian J(x,y) ...
Filetype : icon picture PDF | 0.09 MB | Free Download

 


picture Matrix Pdf 174006 | Printversion
The Jacobian The Jacobian of a Transformation In this section, we explore the concept of a "derivative" of a coordinate transfor- mation, which is known as the Jacobian of the transformation. However, in this course, it is the determinant of the Jacobian that will be used most ...
Filetype : icon picture PDF | 0.16 MB | Free Download

 


picture Matrix Pdf 173966 | Jamisola Cis Ram 2015
Modular Relative Jacobian for Dual-Arms and the Wrench Transformation Matrix Rodrigo S. Jamisola Jr., Petar Kormushev, Darwin G. Caldwell and Frank Ibikunle Abstract—A modular relative Jacobian is recently derived and is expressed in terms of the individual Jacobians of Robot B stand-alone manipulators. It includes a wrench transformation Robot ...
Filetype : icon picture PDF | 1.35 MB | Free Download

 


picture Jacobian Transformation Pdf 174451 | Jacobian
Change of Variables & Jacobian Jason Aran June 3, 2015 Jason Aran Change of Variables & Jacobian June 3, 2015 1 / 20 Transformations - Denition Denition ATransformation T from the uv-plane to the xy-plane is a function that maps points in the uv-plane to points in the ...
Filetype : icon picture PDF | 0.45 MB | Free Download

 


picture Jacobian Transformation Pdf 174203 | 351lect06
Statistics 351 (Fall 2015) September 21, 2015 Prof. Michael Kozdron Lecture #6: The Jacobian for Polar Coordinates Recall. Suppose that X is a random vector with joint density function fX(x). If we dene the random vector Y = g(X), then we proved last lecture that the density for Y is ...
Filetype : icon picture PDF | 0.19 MB | Free Download

 


picture Jacobian Transformation Pdf 174463 | 10 Item Download 2023-01-27 22-55-13
Change of variables What to know 1. Be able to nd the image of a transformation 2. Be able to invert a transformation 3. Be able to nd the Jacobian of a transformation 4. Be able to set up and solve an integral using a change of variables. 5. Might ...
Filetype : icon picture PDF | 0.34 MB | Free Download

 


picture Multiple Integrals Pdf 170544 | L1208 Item Download 2023-01-26 07-35-15
MULTIPLE INTEGRALS CHANGEofVARIABLES Change of Variables for Double Integrals • assume C1 transformations for (u,v) → (x,y) x = g(u,v), y = h(u,v) for (u,v) ∈ S and (x,y) ∈ R; • dene Jacobian for transformation, by determinant ∂x ∂x ∂(x ...
Filetype : icon picture PDF | 0.03 MB | Free Download

 


picture Matrix Pdf 173787 | 161 173
ACTA UNIVERSITATIS LODZIENSIS FOLIA OECONOMICA 252, 2011 Tomasz Kossowski*, Jan Hauke** THE METHOD OF COMPUTING THE LOG-JACOBIAN OF THE VARIABLE TRANSFORMATION FOR SPATIAL MODELS – TEST AND COMMENTS Abstract. One of the most important problems in spatial econometrics is the compu- tation of the log of the Jacobian of variable ...
Filetype : icon picture PDF | 0.44 MB | Free Download

 


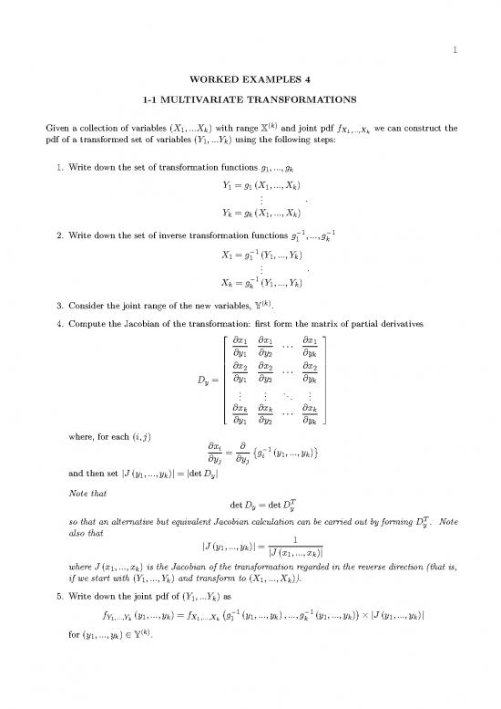
picture Matrix Pdf 174437 | Multivariatetransformationpdf
1 WORKEDEXAMPLES4 1-1 MULTIVARIATE TRANSFORMATIONS (k) Given a collection of variables (X ,...X ) with range X and joint pdf f we can construct the 1 k X1,...,Xk pdf of a transformed set of variables (Y ,...Y ) using the following steps: 1 k 1. Write down the set ...
Filetype : icon picture PDF | 0.07 MB | Free Download

 


picture Jacobian Transformation Pdf 174597 | Changeint
1 Change of variables in double integrals Review of the idea of substitution Consider the integral Z 2 2 xcos(x )dx. 0 To evaluate this integral we use the u-substitution 2 u=x . This substitution send the interval [0,2] onto the interval [0,4]. Since du = 2xdx (1) the ...
Filetype : icon picture PDF | 0.06 MB | Free Download

 


picture Multiple Integrals Pdf 170330 | Multipleintegrals Solutionspublic
Multiple Integrals —Exercises with Solutions — Laurenz Wiskott Institut fur¨ Neuroinformatik Ruhr-Universit¨at Bochum, Germany, EU 4 February 2017 Contents 1 Introduction 2 2 Calculating multiple integrals 2 2.1 Exercises . . . . . . . . . . . . . . . . . . . . . . . . . . . . . . . . . . . . . . . . . . . . . . . 2 2.1.1 Exercise: Integral of a function between two curves . . . . . . . . . . . . . . . . . . . . 2 3 Changing the order of ...
Filetype : icon picture PDF | 0.23 MB | Free Download

 


picture Matrix Pdf 173836 | Integral Ams
SIAM J. Matrix Analysis 21(1999), 300–312 THE CHANGE OF VARIABLES FORMULA USING MATRIX VOLUME ADI BEN-ISRAEL Abstract. The matrix volume is a generalization, to rectangular matrices, of the absolute value of the determinant. In particular, the matrix volume can be used in change-of-variables formulæ, instead of the determinant (if ...
Filetype : icon picture PDF | 0.26 MB | Free Download

 


picture Jacobian Transformation Pdf 174556 | Iii Unit
SUBJECT:ENGINEERING MATHEMATICS-I SUBJECT CODE :SMT1101 UNIT –III FUNCTIONS OF SEVERAL VARIABLES Jacobians Changing variable is something we come across very often in Integration. There are many reasons for changing variables but the main reason for changing variables is to convert the integrand into something simpler and also to transform ...
Filetype : icon picture PDF | 0.78 MB | Free Download

 


picture Jacobian Transformation Pdf 174634 | Exam3f16
Multiple Choice ∂(x,y) 2 4 1.(5pts) Compute the Jacobian, ∂(u,v), of the coordinate transformation x = u − v , y = uv. (a) 2u2 +4v4 (b) xu−yv (c) 3u2 +7v6 2 2 4 (d) 2u (e) u v −uv 3 2u −4v ...
Filetype : icon picture PDF | 0.16 MB | Free Download

 


belum ada komentar
Please Login to post comment.

no reviews yet
Please Login to review.

Category: Standard Format / Pdf Format
Upload at: 28 Jan 2023 | 3 years ago
Tags: 0
views: 127x
Link recommended: filekonstruksi.com