jagomart
digital resources
picture 19 Matrix Calculus Pdf Files | Download Free Collection Files

19 Matrix Calculus Pdf Files | Download Free Collection Files


Posted on 28 Jan 2023 | 3 years ago
Download free matrix calculus pdf files. As a reference file related to the matrix differential calculus with applications in statistics and econometrics.

.  491x 
 file set type 
Copy Link https://jagomart.net/item/176247/free-download-collection-files-matrix-calculus-pdf
List of 19 Matrix Calculus Pdf Files | Download Free Collection Files.
1. Matrix Calculus Pdf 173081 | Slides7 10
picture Matrix Calculus Pdf 173081 | Slides7 10
Matrices Math 240 Denitions and Notation Matrix Algebra Matrix function algebra Matrices Math 240 — Calculus III Summer 2013, Session II Wednesday, July 10, 2013 Matrices Agenda Math 240 Denitions and Notation Matrix Algebra Matrix function algebra 1. Denitions and ...
Filetype : icon picture PDF | 0.17 MB | Free Download

 


2. Calculus Pdf 168793 | 1ad5e235 824d 4bbf 81d6 Ffd2040e37ec
picture Calculus Pdf 168793 | 1ad5e235 824d 4bbf 81d6 Ffd2040e37ec
Notes on Matrix Calculus Paul L. Fackler∗ North Carolina State University September 27, 2005 Matrix calculus is concerned with rules for operating on functions of matrices. For example, suppose that an m ×n matrix X is mapped into a ...
Filetype : icon picture PDF | 0.12 MB | Free Download

 


picture Calculus Pdf 169349 | L3 Multivariable Calc Review
Outline Multi-Variable Calculus Point-Set Topology Compactness The Weierstrass Extreme Value Theorem Operator and Matrix Norms Mean Value Theorem Multivariable Calculus Review Multivariable Calculus Review Outline Multi-Variable Calculus Point-Set Topology Compactness The Weierstrass Extreme Value Theorem Operator and Matrix Norms Mean ...
Filetype : icon picture PDF | 0.32 MB | Free Download

 


picture Matrix Calculus Cheat 171215 | Hu2012matrix Calculus
Matrix Calculus: Derivation and Simple Application HU, Pili∗ March 30, 2012† Abstract Matrix Calculus[3] is a very useful tool in many engineering prob- lems. Basic rules of matrix calculus are nothing more than ordinary calculus rules covered in undergraduate courses ...
Filetype : icon picture PDF | 0.32 MB | Free Download

 


picture Derivatives Calculus Pdf 172476 | Ps8 Abstract Liu Sz
Professor Heinz Neudecker and matrix dierential calculus 1 Shuangzhe Liu 1University of Canberra, Australia Abstract The late Professor Heinz Neudecker is regarded as the founding father of matrix dierential calculus. He laid the foundation for the theory and practice of ...
Filetype : icon picture PDF | 0.10 MB | Free Download

 


picture Matrix Calculus Pdf 170987 | Neto Item Download 2023-01-26 16-18-02
Electronic Journal of Dierential Equations, Vol. 2021 (2021), No. 97, pp. 1–18. ISSN: 1072-6691. URL: http://ejde.math.txstate.edu or http://ejde.math.unt.edu EXTENDING PUTZER’S REPRESENTATION TO ALL ANALYTIC MATRIX FUNCTIONS VIA OMEGA MATRIX CALCULUS ˆ ANTONIOFRANCISCONETO ...
Filetype : icon picture PDF | 0.38 MB | Free Download

 


picture Geometric Progression Pdf 127849 | Bba Syllabus 240715
UNIVERSITY OF LUCKNOW BBA Programme BBA Semester I (Syllabus) BBA 101 BUSINESS MATHEMATICS The course aims to develop basic skills for quantitative application in business situations. Unit I: Summation of sets, Arithmetical Progression- Sum of a series in A. P ...
Filetype : icon picture PDF | 0.20 MB | Free Download

 


picture Matrix Calculus Pdf 171708 | Cs229 Linalg
Linear Algebra Review and Reference Zico Kolter (updated by Chuong Do) September 30, 2015 Contents 1 Basic Concepts and Notation 2 1.1 Basic Notation . . . . . . . . . . . . . . . . . . . . . . . . . . . . . . . . . . 2 2 Matrix Multiplication 3 2.1 Vector-Vector Products . . . . . . . . . . . . . . . . . . . . . . . . . . . . . . 4 2.2 Matrix-Vector Products . . . . . . . . . . . . . . . . . . . . . . . . . . . . . 4 ...
Filetype : icon picture PDF | 0.21 MB | Free Download

 


picture Matrix Calculus Pdf 171181 | Mit18 S096iap22 Lec1new
Lecture Slides for Matrix Calculus Winter 2022 Alan Edelman/Steven Johnson 11am-1pm MWF 1 Lectures: January 10,12,14,19,21,24,26,28 11am-1pm virtual, short break around noon Two Homeworks: Released Wednesday due following Wednesday on canvas, 11:59pm due ...
Filetype : icon picture PDF | 0.71 MB | Free Download

 


picture Matrix Calculus Pdf 171840 | Syllabi Int Msc Core Corses
INDIAN INSTITUTE OF TECHNOLOGY ROORKEE NAME OF DEPTT./CENTRE: Mathematics Department 1. Subject Code: MAN-001 Course Title: Mathematics I 2. Contact Hours: L: 3 T: 1 P: 0 3. Examination Duration (Hrs.): Theory Practical 3 0 4. Relative Weightage: ...
Filetype : icon picture PDF | 0.24 MB | Free Download

 


picture Matrix Calculus Pdf 171343 | Gsw Matrix Calculus
Getting Started with Communications Engineering GSW Matrix Calculus 1 GSW Matrix Calculus Matrices are rectangular arrays of numbers. They are usually written in terms of a capital bold letter, for example A. In previous chapters weve looked at matrix algebra ...
Filetype : icon picture PDF | 0.41 MB | Free Download

 


picture Matrix Calculus Pdf 171442 | Wce2010 Pp1848 1850
Proceedings of the World Congress on Engineering 2010 Vol III WCE 2010, June 30 - July 2, 2010, London, U.K. Multidimensional Matrix Mathematics: Solving Systems of Linear Equations and Multidimensional Matrix Calculus, Part 6 of 6 Ashu M. G ...
Filetype : icon picture PDF | 0.65 MB | Free Download

 


picture Matrix Calculus Pdf 173858 | 1107bb5990f44e75b0a68a93864508a1
Mathematics for Social Scientists II Howard M Thompson University of Michigan - Flint This series of lectures will present some of the ideas that form the foundation of quantitative work in the social sciences. In particular, topics from matrix theory ...
Filetype : icon picture PDF | 0.10 MB | Free Download

 


picture Matrix Calculus Pdf 171389 | 11 Matrix Newton Annotated
Matrix differential calculus 10-725 Optimization Geoff Gordon Ryan Tibshirani Review • Matrix differentials: sol’n to matrix calculus pain compact way of writing Taylor expansions, or denition: df = a(x; dx) [+ r(dx)] a(x; .) linear in 2nd arg ...
Filetype : icon picture PDF | 2.78 MB | Free Download

 


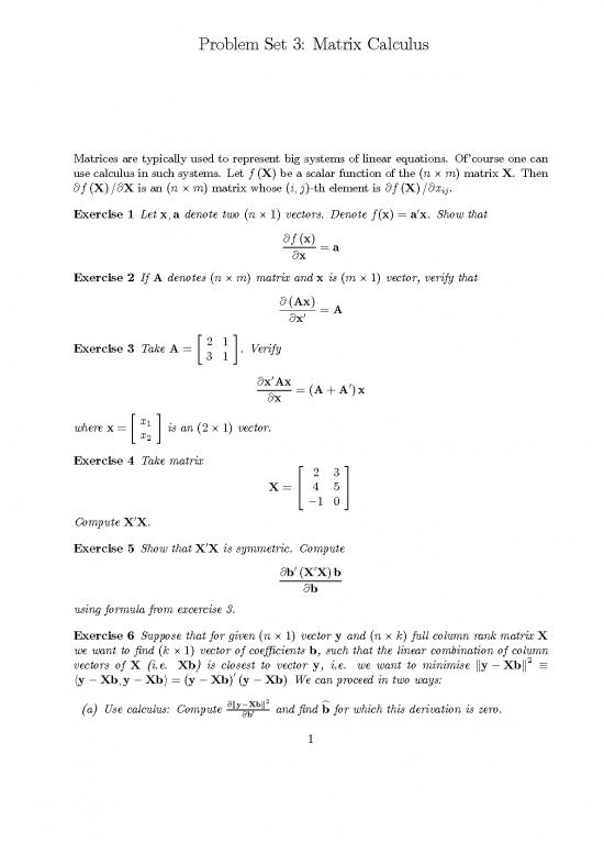
picture Matrix Calculus Pdf 171409 | Linear Algebra Ps 3
Problem Set 3: Matrix Calculus M.Phil. Premath, September 2007 Matrices are typically used to represent big systems of linear equations. Of’course one can use calculus in such systems. Let f (X) be a scalar function of the (n ...
Filetype : icon picture PDF | 0.08 MB | Free Download

 


picture Matrix Calculus Pdf 173780 | 9789814335317 Toc 001
January 20, 2011 14:43 World Scientic Book - 9in x 6in book Contents Preface v Symbol Index xiii 1. Matrix Calculus 1 1.1 Denitions and Notation . . . . . . . . . . . . . . . . . . . 1 1.2 Matrix Operations . . . . . . . . . . . . . . . . . . . . . . 9 1.3 Linear Equations . . . . . . . . . . . . . . . . . . . . . . . 10 1.4 ...
Filetype : icon picture PDF | 0.09 MB | Free Download

 


picture Calculus Pdf 168787 | Wand02
Vector Differential Calculus in Statistics M.P.WAND Section4illustratestheiruseinstatistics.Section5describesan extension of the methodology to matrix arguments. Many statistical operations benet from differential calculus. Examplesinclude optimization of likelihood functions and cal- 2. SIMPLEILLUSTRATIVEEXAMPLE culation of information matrices. For multiparameter models ...
Filetype : icon picture PDF | 0.14 MB | Free Download

 


picture Derivatives Calculus Pdf 171388 | 10601 Matrix Calculus
Matrix Calculus for 10-301/601 Hoeseong (Hayden) Kim Abhishek Vijayakumar Carnegie Mellon University February 24, 2022 How to Read Please read this first! What is this write-up? This write-up covers everything you need to know (and a little more) about matrix ...
Filetype : icon picture PDF | 1.08 MB | Free Download

 


picture Calculus Pdf 168942 | Matrixcalculus
. D Matrix Calculus D–1 Appendix D: MATRIX CALCULUS D–2 In this Appendix we collect some useful formulas of matrix calculus that often appear in nite element derivations. §D.1 THEDERIVATIVESOFVECTORFUNCTIONS Let x and y be vectors ...
Filetype : icon picture PDF | 0.12 MB | Free Download

 


belum ada komentar
Please Login to post comment.

no reviews yet
Please Login to review.

Category: Standard Format / Pdf Format
Upload at: 28 Jan 2023 | 3 years ago
Tags: matrix differential calculus with applications in statistics and econometrics
views: 491x
Link recommended: filekonstruksi.com