jagomart
digital resources
picture 9 Ross Elementary Analysis Files | Download Free Collection Files

9 Ross Elementary Analysis Files | Download Free Collection Files


Posted on 27 Jan 2023 | 3 years ago
Download free ross elementary analysis files. As a reference file related to the ross elementary analysis solutions.

.  254x 
 file set type 
Copy Link https://jagomart.net/item/174928/free-download-collection-files-ross-elementary-analysis
List of 9 Ross Elementary Analysis Files | Download Free Collection Files.
1. Calculus Pdf 170044 | Kizike
picture Calculus Pdf 170044 | Kizike
Continue Elementary analysis the theory of calculus 2nd edition pdf Math 352Theory of CalculusSpring 2020 Course: Math 352, The Theory of Calculus Time: MWF 1:00 pm - 1:50 pm Classroom: Neckers 156 Textbook: Elementary Analysis: The Theory of Calculus, 2nd edition, by Kenneth A. Ross, Springer-Verlag. There is a free PDF version of the textbook here. I think it is better to order a paper ...
Filetype : icon picture PDF | 0.09 MB | Free Download

 


2. Ross Elementary Analysis 171864 | Homework4
picture Ross Elementary Analysis 171864 | Homework4
MATH104-1: Introduction to Analysis Homework #4 Due September 30, 2015 All problems are from Ross, Elementary Analysis, unless stated otherwise. If you use an exercise that has not been shown on a previous assignment, prove it rst before applying it. 1. Exercise 11.4 2. Exercise 11.6 3. Exercise 11.8 4. Exercise 11.10 5. Exercise 12.2 6. Exercise 12.4 7 ...
Filetype : icon picture PDF | 0.04 MB | Free Download

 


picture Calculus Pdf 170439 | Syll Item Download 2023-01-26 06-42-02
Math 451: Advanced Calculus I Instructor: Professor Sijue Wu Ofce: 4064 East Hall Tel: 734-764-6898 email: sijue@umich.edu Ofce hours: Tuesdays 1:30-3pm, Thursdays 2:30-4pm TextBook: Elementary Analysis, The Theory of Calculus, 2nd ed. by Kenneth A. Ross Prerequisites: A thorough understanding of calculus and one of 217, 312, 412, or permission of instructor This course has two complementary goals: (1) a rigorous development of the ...
Filetype : icon picture PDF | 0.03 MB | Free Download

 


picture Calculus Pdf 170490 | Syllabus 125a Winter 14
ADVANCEDCALCULUS MATH125A Winter Quarter, 2014 TEXT:Elementary Analysis: The Theory of Calculus, K. Ross SECTIONS:Ch3,Sec17-20;Ch4,Sec23-25;Ch5,Sec28-30; Ch 3, Sec 21-22. PROFESSOR:BlakeTemple, 3148 MSB, 752-2214 Lecture: CRN 69910 MAT-125A 001 Room: HOAGLAND168,MWF9:00-9:50 Oce Hours: MWF 2-3 or by appt. e-mail: temple@math.ucdavis.edu Class Webpage: http://www.math.ucdavis.edu/∼temple/MAT125A/ DISCUSSIONSECTIONS:Thurs: 6:10-7:00,HARING2016. TA:EvanSmothersMSB2204: Email: ebsmothers@math.ucdavis.edu Oce Hours: T 12-1 ...
Filetype : icon picture PDF | 0.03 MB | Free Download

 


picture Calculus Pdf 170491 | Syllabus Mat25 W2017
Advanced Calculus MATH25 Winter Quarter, 2017 TEXT: Kenneth Ross, Elementary Analysis: The Theory of Calculus Chapters: 1 and 2. INSTRUCTOR:BlakeTemple, 3148 MSB Lecture: MWF 9:00-9:50am, 1 Wellman Discussions: Tues 5:10-6:00 and 6:10-7:00pm, 110 Hunt Oce Hours: MWF 1-2 or by appt. e-mail: temple@math.ucdavis.edu Web Page: http://www.math.ucdavis.edu/∼temple/MAT25/ Teaching Assistants: Christopher Alexander, christopher.alexander.ca@gmail.com GRADING:Midterms I,II=100pts each, Final ...
Filetype : icon picture PDF | 0.07 MB | Free Download

 


picture Calculus Pdf Download 172061 | Chapter2
MTH320 Assignments Summer 2015 Tentative Assignments - Chapter 2 (exercises from the Elementary Analysis: The Theory of Calculus, 2nd Ed., Kenneth Ross, Springer 2013) * Section Exercises 7 1(ac), 2, 3, 5 8 1(c), 2(ae), 4–6, 8(b), 10 9 1(b), 2, 4, 9, 10, 12; (i) Suppose that a,b ∈ R and that |a−b| < ε for all ε &gt ...
Filetype : icon picture PDF | 0.17 MB | Free Download

 


picture Ross Elementary Analysis 172326 | Rosserrata
1 ERRATAfor“Elementary Analysis, 2nd edition,” by Kenneth A. Ross (revised August 2017) Page 14. In line 6 of the rst paragraph, “can proved solely” should be “can be proved solely”. Page 24, ve lines from the bottom. “If fact” should be “In fact”. Page 40, line 3. The denominator of the rst fraction should be the same as for ...
Filetype : icon picture PDF | 0.14 MB | Free Download

 


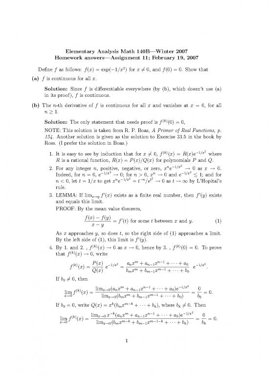
picture Ross Elementary Analysis 172345 | 140bhwsol11
Elementary Analysis Math 140B—Winter 2007 Homework answers—Assignment 11; February 19, 2007 2 Dene f as follows: f(x) = exp(−1/x ) for x 6= 0, and f(0) = 0. Show that (a) f is continuous for all x. Solution: Since f is dierentiable everywhere (by (b), which doesn’t use (a) in its proof), f is continuous. (b) The n-th derivative of f ...
Filetype : icon picture PDF | 0.05 MB | Free Download

 


picture Adams Calculus Pdf 173352 | Rcmplx01 Ross
Undergraduate Texts in Mathematics Kenneth A. Ross Elementary Analysis The Theory of Calculus Second Edition Undergraduate Texts in Mathematics Undergraduate Texts in Mathematics Series Editors: Sheldon Axler SanFrancisco State University, San Francisco, CA, USA Kenneth Ribet University of California, Berkeley, CA, USA Advisory Board: Colin C. Adams, Williams College, Williamstown, MA, USA Alejandro Adem, University of British Columbia, Vancouver, BC, Canada RuthCharney,Brandeis University, Waltham ...
Filetype : icon picture PDF | 3.35 MB | Free Download

 


belum ada komentar
Please Login to post comment.

no reviews yet
Please Login to review.

Category: Standard Format / Pdf Format
Upload at: 27 Jan 2023 | 3 years ago
Tags: ross elementary analysis solutions
views: 254x
Link recommended: filekonstruksi.com