jagomart
digital resources
picture 7 Integral Calculus Problems With Solutions Pdf Files | Download Free Collection Files

7 Integral Calculus Problems With Solutions Pdf Files | Download Free Collection Files


Posted on 26 Jan 2023 | 3 years ago
Download free integral calculus problems with solutions pdf files.

.  564x 
 file set type 
Copy Link https://jagomart.net/item/172577/free-download-collection-files-integral-calculus-problems-with-solutions-pdf
List of 7 Integral Calculus Problems With Solutions Pdf Files | Download Free Collection Files.
1. Calculus Pdf 169191 | Math 1620
picture Calculus Pdf 169191 | Math 1620
MATH-1620: Calculus II 1 MATH-1620: CALCULUS II Cuyahoga Community College Viewing: MATH-1620 : Calculus II Board of Trustees: November 2020 Academic Term: Fall 2021 Subject Code MATH - Mathematics Course Number: 1620 Title: Calculus II Catalog Description: Second of three-semester sequence. Includes the study of applications of the denite integral, techniques of integration, indeterminate forms, improper integrals, sequences, series, conic sections, parametric equations and polar coordinates. Credit Hour(s): 5 Lecture Hour(s): 5 Lab Hour(s): 0 Other Hour(s): 0 Requisites Prerequisite ...
Filetype : icon picture PDF | 0.11 MB | Free Download

 


2. Calculus Pdf 170486 | Math 101 Learning Outcomes
picture Calculus Pdf 170486 | Math 101 Learning Outcomes
MATH101–Integral Calculus with Applications to Physical Sciences and Engineering Learning Objectives Session 2013W Term 2 Course-level learning goals: In this course students will learn the basic ideas, tools and techniques of integral calculus and will use them to solve problems from real-life applications. In particular, students will learn • to perform integration and other operations for certain types of functions and carry out the computation uently; • approximation techniques for integration; • to determine whether a sequence or a ...
Filetype : icon picture PDF | 0.14 MB | Free Download

 


picture Calculus Pdf 169213 | 3 540 44860 8 85
Basic Calculus on Time Scale with Mathematica ¨ Ahmet Yantr and Unal Ufuktepe Izmir Institute of Technology, Department of Mathematics , Urla, Izmir, TURKEY ahmetyantir@iyte.edu.tr unalufuktepe@iyte.edu.tr Communicated by Hidekazu Takahashi Abstract. Mathematical modeling of time dependent systems are al- ways interesting for applied mathematicians. First continuous and then discrete mathematical modeling are built during the mathematical devel- opment from ancient to the modern times. By the discovery of the time scales, the problem of irregular controlling of ...
Filetype : icon picture PDF | 0.10 MB | Free Download

 


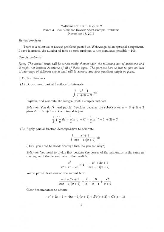
picture Calculus Pdf 169266 | Ex3revsols
Mathematics 136 – Calculus 2 Exam 3 – Solutions for Review Sheet Sample Problems November 18, 2016 Review problems There is a selection of review problems posted on WebAssign as an optional assignment. I have increased the number of tries on each problem to the maximum possible – 100. Sample problems Note: The actual exam will be considerably shorter than the following list of questions and it might not contain questions of all of these types. The purpose here is ...
Filetype : icon picture PDF | 0.09 MB | Free Download

 


picture Geometric Constructions Pdf 169028 | Statupdated
DIFFERENTIAL CALCULUS WITH INTEGERS ALEXANDRUBUIUM Abstract. Ordinary dierential equations have an arithmetic analogue in which functions are replaced by numbers and the derivation operator is re- placed by a Fermat quotient operator. In this survey we explain the main motivations, constructions, results, applications, and open problems of the theory. The main purpose of these notes is to show how one can develop an arithmetic analogue of dierential calculus in which dierentiable functions x(t) are replaced by integer numbers n and ...
Filetype : icon picture PDF | 0.47 MB | Free Download

 


picture Calculus Pdf 169317 | Clp 2 Ic Problems
CLP–2INTEGRALCALCULUS EXERCISES Elyse YEAGER Joel FELDMAN AndrewRECHNITZER THIS DOCUMENT WAS TYPESET ON TUESDAY 23RD AUGUST, 2022. Legal stuff • Copyright©2016–21ElyseYeager,JoelFeldman,andAndrewRechnitzer • In the near future this will be licensed under the Creative Commons Attribution- NonCommercial-ShareAlike 4.0 International License. You can view a copy of the license at http://creativecommons.org/licenses/by-nc-sa/4.0/. 2 HOWTOUSETHISBOOK Introduction First of all, welcome to Calculus! This book is written as a companion to the CLP-2 Integral Calculus textbook. §§ ...
Filetype : icon picture PDF | 2.78 MB | Free Download

 


picture Calculus Pdf 169413 | Selected Problems Chap12
Math 208 - Calculus II November 13, 2006 Solutions to selected problems in chapter 12 Section 12.7 (On page 784) Test the series for convergence or divergence. ∞ 27. X klnk3. (k +1) k=1 ∞ Solution. Note that klnk ≤ klnk = lnk. Hence, by Comparison Test, X klnk 3 3 2 3 (k +1) k k (k +1) Z   k=1 ∞ ∞ t is convergent if X lnk is convergent. But lnk dx = lim &minus ...
Filetype : icon picture PDF | 0.07 MB | Free Download

 


belum ada komentar
Please Login to post comment.

no reviews yet
Please Login to review.

Category: Standard Format / Pdf Format
Upload at: 26 Jan 2023 | 3 years ago
Tags: 0
views: 564x
Link recommended: filekonstruksi.com