jagomart
digital resources
picture 13 Thomas Calculus Early Transcendentals Pdf Files | Download Free Collection Files

13 Thomas Calculus Early Transcendentals Pdf Files | Download Free Collection Files


Posted on 26 Jan 2023 | 3 years ago
Download free thomas calculus early transcendentals pdf files.

.  533x 
 file set type 
Copy Link https://jagomart.net/item/172154/free-download-collection-files-thomas-calculus-early-transcendentals-pdf
List of 13 Thomas Calculus Early Transcendentals Pdf Files | Download Free Collection Files.
1. Calculus Pdf 168719 | Mylab Math Plus Pearson Etext Standalone Access Card For Thomas Calculus Early Transcendenta
picture Calculus Pdf 168719 | Mylab Math Plus Pearson Etext  Standalone Access Card  For Thomas Calculus Early Transcendenta
Ebook MyLab Math Plus Pearson EText -- Standalone Access Card -- For Thomas' Calculus: Early Transcendentals With Integrated Review (14th Edition) in PDF MyLab Math plus Pearson eText -- Standalone Access Card -- for Thomas' Calculus: Early Transcendentals with Integrated Review (14th Edition) Another free PDF website to catch eBooks ...
Filetype : icon picture PDF | 0.08 MB | Free Download

 


2. Thomas Calculus Solutions Pdf 169160 | 35c1509afbfdd86fc7c92fa52be0366b
picture Thomas Calculus Solutions Pdf 169160 | 35c1509afbfdd86fc7c92fa52be0366b
Thomas Calculus 13th Edition Thomas Solutions Manual Full Download: http://testbanklive.com/download/thomas-calculus-13th-edition-thomas-solutions-manual/ INSTRUCTOR’S SOLUTIONS MANUAL MULTIVARIABLE ELKA BLOCK FRANK PURCELL THOMAS’ CALCULUS THIRTEENTH EDITION AND THOMAS’ CALCULUS EARLY TRANSCENDENTALS THIRTEENTH EDITION Based on the original work by George B. Thomas, Jr Massachusetts Institute of Technology as revised by Maurice D ...
Filetype : icon picture PDF | 0.21 MB | Free Download

 


picture Calculus Pdf 170879 | Ma 1023 Blais A Term, 2021 0
MA 1023: Calculus 3 Department of Mathematical Sciences A Term 2021 Instructor: Professor Marcel Blais myblais@wpi.edu 508-831-5677 SH 109 B Zoom Room ID: 346 8778 8225 Peer Learning Assistants (PLA): Frederick “Forrest” Miller fimiller@wpi.edu Zoom Room ID: 634 741 5907 Aashish Singh Alag aalag@wpi.edu Zoom Room ...
Filetype : icon picture PDF | 0.14 MB | Free Download

 


picture Calculus Pdf 168653 | M63 Uga Chapman
Application M63 Number Applicant Dr. Kyle Chapman Position Limited Term Assistant Professor Institution University of Georgia Email kc31223@uga.edu Team Dr. Jennifer Royal - jroyal@uga.edu Members Type Creation of ancillaries for pre-existing OER Course MATH 2250 Calculus I; Math 2260 Calculus II Number / Title Final Fall 2019 Semester ...
Filetype : icon picture PDF | 0.09 MB | Free Download

 


picture Calculus Pdf 169920 | Course Outline12 1007c
Elementary Calculus I MATH 1007 C Course outline Fall 2012 School of Mathematics and Statistics Carleton University Instructor: Dr. Ranjeeta Mallick 5250 Herzberg 613-520-2600 ext. 1983 E-mail: rmallick@math.carleton.ca Textbook: J Hass, M.D. Weir and G.B. Thomas, University Calculus, nd Early Transcendentals, 2 Ed. With Student’s ...
Filetype : icon picture PDF | 0.03 MB | Free Download

 


picture Calculus Pdf 168767 | Math21200ch8sec1to5thomas2018 20190128
City College of New York MATH 21200 (Calculus 2 Notes) Page 1 of 3 th Thomas’ Calculus Early Transcendentals, 14 ed Chapter 8 Section 1 to 5 author: Mr. Park Section 8.1: Basic Integration Formulas Formulas needed to be memorized: (*=absolutely needed) p(1n+ ) 1 n * dp =ln ...
Filetype : icon picture PDF | 0.06 MB | Free Download

 


picture Calculus Pdf 168892 | Outline
Mathematics 104 Spring Term 2008 CALCULUS Text: Thomas’ Calculus – Early Transcendentals, Volume One, Second Custom Edition for Princeton Uni- versity. Grading: The Final Examination counts as 40 percent of the course grade; the Midterm Test counts as 25 percent of the course grade; homework is 10 percent and the ...
Filetype : icon picture PDF | 0.04 MB | Free Download

 


picture Calculus Pdf 169690 | Math1441syl
Course Syllabus for Math 1441, Section N Calculus 1 Fall 2018 Credit Hours: 4 Meeting Times and Place: M 12:20-2:15, WF 1:25-2:15 MP 2018 (lecture, led by Prof. Sills) F 12:20-1:10 MP 2018 (recitation, led by GA Ibrahim Alliu) Prerequisites: A grade of C or better in MATH 1112, 1113 ...
Filetype : icon picture PDF | 0.13 MB | Free Download

 


picture Calculus Pdf 169790 | Math 1007h W20
Elementary Calculus I (Math 1007 H, Winter 2020) Instructor: Dr. Gang Li Oce: HP 5218 E-Mail: gli@math.carleton.ca Phone: 520-2600 ext 8999 https://www.carleton.ca/culearn/ Class Schedule Class Times: Tuesday & Thursday 6:05pm - 7:25pm Loeb Building C164 Tutorial Times: Thursday 7:35pm - 8:25pm TBA Oce Hours: Tuesday& ...
Filetype : icon picture PDF | 0.15 MB | Free Download

 


picture Calculus Pdf 170105 | Math211 S20 Outline
Math 211-018 Calculus IIIA Spring 2020 Victor Matveev th Required Textbook: Thomas’ Calculus, Early Transcendentals 14 edition, by J. Hass, C. Heil, and M. Weir. Published by Pearson, ISBN 978-0134768496 Note: You need a student access code for MyMathLab to do the online homework. This can be bundled with the ...
Filetype : icon picture PDF | 0.18 MB | Free Download

 


picture Thomas Calculus Solutions Pdf 168697 | Solutions Thomas Calculus 14th Edition
www.konkur.in Thomas Calculus Early Transcendentals 14th Edition Hass SOLUTIONS MANUAL CHAPTER 2 LIMITS AND CONTINUITY 2.1 RATES OF CHANGE AND TANGENTS TO CURVES f f (3)f (2) f f (1)f (1) 289 20 1. (a) 19 (b) 1 x 32 1 x 1(1) 2 g g (3) ...
Filetype : icon picture PDF | 0.84 MB | Free Download

 


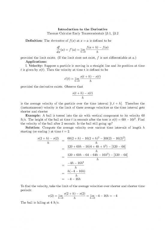
picture Calculus Pdf 168772 | T3 2def
Introduction to the Derivative Thomas Calculus Early Transcendentals §3.1, §3.2 Denition: The derivative of f(x) at x = a is dened to be df (a) = f′(a) = lim f(a + h) − f(a) dx h→0 h provided the limit exists. (If the limit ...
Filetype : icon picture PDF | 0.04 MB | Free Download

 


picture Calculus Pdf 168889 | 153 Suggestedproblems
THE FOLLOWING ARE FOR YOUR OWN STUDY, NOT TO SUBMIT Thomas’ Calculus, Early Transcendentals, 12th Edition Section Suggested Problems 1.1 4,6,7,8,10,12,17-20,23,27,30,45,46,50,51,52,63,64,70,72 1.2 5,9,11,16,21,23,25,29 ...
Filetype : icon picture PDF | 0.04 MB | Free Download

 


belum ada komentar
Please Login to post comment.

no reviews yet
Please Login to review.

Category: Standard Format / Pdf Format
Upload at: 26 Jan 2023 | 3 years ago
Tags: 0
views: 533x
Link recommended: filekonstruksi.com