jagomart
digital resources
picture 19 Implicit Differentiation Pdf Files | Download Free Collection Files

19 Implicit Differentiation Pdf Files | Download Free Collection Files


Posted on 26 Jan 2023 | 3 years ago
Download free implicit differentiation pdf files.

.  439x 
 file set type 
Copy Link https://jagomart.net/item/172058/free-download-collection-files-implicit-differentiation-pdf
List of 19 Implicit Differentiation Pdf Files | Download Free Collection Files.
1. Differentiation Pdf 169757 | 2015 Sm Implicit Differentiation Tinspirecas
picture Differentiation Pdf 169757 | 2015 Sm Implicit  Differentiation Tinspirecas
Specialist Mathematics Unit 3 IMPLICIT DIFFERENTIATION TI N-spire CAS. Explicit Function – is a function in which the dependant variable can be written 3 yx4 explicitly in terms of independent variable. For example: , f (x) loge(sin x) . Implicit relation &ndash ...
Filetype : icon picture PDF | 0.54 MB | Free Download

 


2. Differentiation Pdf 169761 | Mblondel Ulisboa 2021 06
picture Differentiation Pdf 169761 | Mblondel Ulisboa 2021 06
Illustration Examples Efcient and Modular Implicit Differentiation Mathieu Blondel Joint work with: Q. Berthet, M. Cuturi, R. Frostig, S. Hoyer, F. Llinares-Lopez, F. Pedregosa, J-P. Vert June4,2021 Gradient-based learning Gradient-based training algorithms are the workhorse of modern machine learning ...
Filetype : icon picture PDF | 1.58 MB | Free Download

 


picture Calculus Pdf 169437 | 4144752f 5245 49a6 B666 A6a0871d10b1
Semester Course name: MATH211 Advanced Department: Mathematics 3 Calculus I Methods of Education Credit (ECTS) Lecture Recitation/ Lab Project/Field Homework Other Total (Etud) Study 10 75 0 0 0 75 150 300 Language English 7 Compulsory/Elective Compulsory 5 5 Prerequisites ...
Filetype : icon picture PDF | 0.22 MB | Free Download

 


picture Differentiation Pdf 170694 | C4 Implicitdifferentiationandrelatedrates Bp 5 6 19
Implicit Differentiation and Related Rates Implicit means “implied or understood though not directly expressed” PART I: Implicit Differentiation The equation has an implicit meaning. It implicitly describes y as a function of x. The equation can be made explicit ...
Filetype : icon picture PDF | 0.38 MB | Free Download

 


picture Differentiation Pdf 170451 | Stewartcalc8 02 06
Implicit Differentiation The functions that we have met so far can be described by expressing one variable explicitly in terms of another variable—for example, y = or y = x sin x or, in general, y = f(x). Some ...
Filetype : icon picture PDF | 0.22 MB | Free Download

 


picture Differentiation Pdf 170819 | 17 Iskandar Shah
Sains Malaysiana 45(6)(2016): 989–998 Block Backward Differentiation Formulas for Solving First Order Fuzzy Differential Equations under Generalized Differentiability ( Formula Blok Pembezaan Kebelakang bagi Menyelesaikan Persamaan Pembezaan Kabur Peringkat Pertama di bawah Kebolehbezaan Umum) ISKANDAR SHAH MOHD ZAWAWI & ...
Filetype : icon picture PDF | 1.51 MB | Free Download

 


picture Calculus Pdf 168676 | 03   Implicit Differentiation
Kuta Software - Infinite Calculus Name___________________________________ Implicit Differentiation Date________________ Period____ dy For each problem, use implicit differentiation to find in terms of x and y. dx 1) 2x3 = 2y2 + 5 2) 3x2 + 3y2 = 2 3) 5y2 ...
Filetype : icon picture PDF | 0.04 MB | Free Download

 


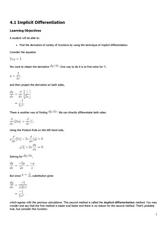
picture Differentiation Pdf 170784 | Unit 4 In Pdf
4.1 Implicit Differentiation Learning Objectives A student will be able to: Find the derivative of variety of functions by using the technique of implicit differentiation. Consider the equation We want to obtain the derivative . One way to do it ...
Filetype : icon picture PDF | 1.18 MB | Free Download

 


picture Differentiation Pdf 170549 | Mc Ty Implicit 2009 1
Implicit Differentiation mc-TY-implicit-2009-1 Sometimes functions are given not in the form y = f(x) but in a more complicated form in which it is dicult or impossible to express y explicitly in terms of x. Such functions are called implicit ...
Filetype : icon picture PDF | 0.15 MB | Free Download

 


picture Pharmacy Pdf 152415 | Anu 1st Pharm Syllabus
A.N.U. B.PHARMACY SYLLABUS (WITH EFFECT FROM 2008 - 09 ACADEMIC YEAR) st nd I/IV B.PHARMACY (1 & 2 SEMESTERS) 101 A MATHEMATICS (75 hrs.) Unit : 01 ALGEBRA: Arithmetic progression-Geometric Progression-Permutations and Combinations-Binomial theorem&ndash ...
Filetype : icon picture PDF | 0.13 MB | Free Download

 


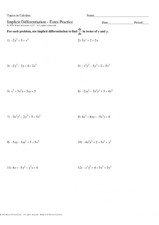
picture Calculus Pdf 168979 | Tc   Ch 7 Implicit Diff Extra Practice
Topics in Calculus Name___________________________________ Implicit Differentiation - Extra Practice Date________________ Period____ ©Z O2g021e4T aKruutqaM XSyoAf0txwHamrBea ELvLPCT.q i HAHlLl2 CrNiygUhJtfsG JrYeYsMeXrYvveEd0.Y For each problem, use implicit differentiation to find dy in terms of x and y. dx 1) ...
Filetype : icon picture PDF | 0.02 MB | Free Download

 


picture Differentiation Pdf 169008 | 151h Wlazlo Sessions Smith Day Math Project Implicit Chain
INTRODUCTION The chain rule and implicit differentiation are techniques used to easily differentiate otherwise difficult equations. Both use the rules for derivatives by applying them in slightly different ways to differentiate the complex equations without much hassle. In this presentation ...
Filetype : icon picture PDF | 0.54 MB | Free Download

 


picture Differentiation Pdf 169957 | C4 Differentiation   Implicit Differentiation
C4 Differentiation - Implicit differentiation PhysicsAndMathsTutor.com 1. A curve C has equation x 2 2 + y = 2xy Find the exact value of dy at the point on C with coordinates (3, 2). dx (Total 7 marks) 2 ...
Filetype : icon picture PDF | 0.24 MB | Free Download

 


picture Calculus Pdf 170168 | Ap Calculus Ab   Complete
Rewritten: August, 2020 AP CALCULUS AB SYLLABUS Sections Align to: Calculus for AP, 2nd Edition by R. Larson & P. Battaglia MARKING PERIOD 1 Unit 1: Limits and Their Properties 1.2 - Finding Limits Graphically and Numerically 1 ...
Filetype : icon picture PDF | 1.52 MB | Free Download

 


picture Differentiation Pdf 170389 | Web Implicit
Implicit Differentiation Sometimes functions are given not in the form y = f(x) but in a more complicated form in which it is dicult or impossible to express y explicitly in terms of x. Such functions are called implicit functions ...
Filetype : icon picture PDF | 0.08 MB | Free Download

 


picture Calculus Pdf 168662 | Ap Calculus Ab Notes
  AP Calculus AB    Notes 20182019      Arbor View HS      Name: Period:   1 Table of Contents 1.2 Finding Limits Graphically and Numerically (48)................................................................................... 4  1.3 Evaluating Limits Analytically (57) ........................................................................................................ 7  1.4 Continuity ...
Filetype : icon picture PDF | 2.40 MB | Free Download

 


picture Calculus Pdf 168776 | Math 12 And 22 Refresher
Refresh and Supplemental Resources for Calculus II These resources are designed to be used to help students refresh their prerequisite course knowledge and provide supplementary course resources. Calc II Topic Calc I Prerequisite Videos Calc I Prerequisite Practice Problems Area ...
Filetype : icon picture PDF | 0.09 MB | Free Download

 


picture Calculus Pdf 169754 | Math 23 Refresher
Refresh and Supplemental Resources for Calculus III These resources are designed to be used to help students refresh their prerequisite course knowledge and provide supplementary course resources. Calc III Topic Calc I/II Prerequisite Videos Calc I/II Prerequisite Practice Problems Three-Dimensional ...
Filetype : icon picture PDF | 0.09 MB | Free Download

 


picture Calculus Pdf 170344 | Math1910
Department of Mathematics Last Day to Drop or Withdraw from Classes: (Verify Date on calendar or with Records Office) MATH 1910 Calculus I Credit Hours 4 credit hours Course Description Topics include functions and models, limits, derivatives, differentiation rules, applications ...
Filetype : icon picture PDF | 0.10 MB | Free Download

 


belum ada komentar
Please Login to post comment.

no reviews yet
Please Login to review.

Category: Standard Format / Pdf Format
Upload at: 26 Jan 2023 | 3 years ago
Tags: 0
views: 439x
Link recommended: filekonstruksi.com