jagomart
digital resources
picture 19 One Person Company Pdf Files | Download Free Collection Files

19 One Person Company Pdf Files | Download Free Collection Files


Posted on 22 Jan 2023 | 3 years ago
Download free one person company pdf files.

.  475x 
 file set type 
Copy Link https://jagomart.net/item/163888/free-download-collection-files-one-person-company-pdf
List of 19 One Person Company Pdf Files | Download Free Collection Files.
1. Companies Act Pdf 162159 | Legal Aspects Of Business Unit 4 Ms Neha Rani
picture Companies Act Pdf 162159 | Legal Aspects Of Business Unit 4 Ms Neha Rani
Prepared by: Ms. Neha Rani Assistant Professor School of Business Studies Shobhit Institute of Engineering and Technology (Deemed to be University) Meerut Definition, characteristics and kinds of companies, steps in formation of company. Memorandum of association, articles of association and ...
Filetype : icon picture PDF | 1.45 MB | Free Download

 


2. Companies Act Pdf 161833 | Csa Unit 1
picture Companies Act Pdf 161833 | Csa Unit 1
BMSCW Department of Commerce UNIT 1 FORMATION OF COMPANY INTRODUCTION The word ‘company’ is derived from Latin word ‘Com’ which means ‘Together’ and the word ‘panies’ which means ‘bread’. A company is thus an association ...
Filetype : icon picture PDF | 0.44 MB | Free Download

 


picture Companies Act Pdf 161449 | Company Law1
By: Ankur Mittal COMPANY LAW - LECTURE NOTES I. INTRODUCTION TO INCORPORATION 1. Definition of a "Company" A company is a "corporation" - an artificial person created by law. A human being is a ...
Filetype : icon picture PDF | 0.13 MB | Free Download

 


picture One Person Company Pdf 161456 | Cs Executive Company Law Notes Chapter 3
Deep Gyan® (9811196732) Company Law – By Anurag Jain www.deepgyan.com CS Executive Company Law Notes PDF – Chapter 3 CHAPTER – 3 – MEMBERSHIP IN A COMPANY Definition of member [Section 2(55)] Subsection 1 The subscribers of the ...
Filetype : icon picture PDF | 0.94 MB | Free Download

 


picture Company Act 1956 Pdf 95329 | Companies Act 1956 13jun2011
COMPANIES ACT, 1956 [Act No. 1 OF 1956] PART I : PRELIMINARY Sections 1. Short title, commencement and extent 2. Definitions 2A. Interpretation of certain words and expressions 3. Definitions of "company", "existing company&quot ...
Filetype : icon picture PDF | 2.98 MB | Free Download

 


picture Companies Act Pdf 162242 | E131 Item Download 2023-01-22 02-01-02
APPENDIX III SUMMARY OF CONSTITUTION OF OUR COMPANY AND BERMUDA COMPANY LAW Set out below is a summary of certain provisions of the memorandum of association (the “Memorandum of Association”) and bye laws (the “Bye laws”) ...
Filetype : icon picture PDF | 0.67 MB | Free Download

 


picture Companies Act 2013 Pdf 161574 | Company Intro
NATURE OF A COMPANY A company is a business entity registered under the Companies Act. It is a legal entity with a separate identity from those who are its members or operate it. Therefore it can be considered as an ...
Filetype : icon picture PDF | 0.09 MB | Free Download

 


picture Company Act 1956 Pdf 95325 | Aoa Holding
THE COMPANIES ACT, 1956 COMPANY LIMITED BY SHARES ARTICLES OF ASSOCIATION OF MSEB HOLDING COMPANY LTD COMPANY LIMITED BY SHARES INTERPRETATION Interpretation Clause 1. In the interpretation of the Memorandum of Association and these Articles the following expressions shall have ...
Filetype : icon picture PDF | 0.18 MB | Free Download

 


picture One Person Company Pdf 161399 | Kpmg Corporate Publication On Website Maintenance For Public Company
KPMGTaseerHadi& Co. CharteredAccountants Website mandatory for a Public Company effective from3 October 2019 Preliminary Profile of Company Securities and Exchange Commission of Pakistan Vision, mission and principle business activities; [“SECP”] vide S.R.O. 1196 (I)/2019 has ...
Filetype : icon picture PDF | 0.29 MB | Free Download

 


picture Companies Act Pdf 161687 | Private Limited Constitution
THE COMPANIES ACT 2019 (ACT 992) CONSTITUTION FOR A PRIVATE COMPANY LIMITED BY SHARES 1. The name of the Company is 2. The nature of the business which the Company is authorized to carry on are: - 3. The first ...
Filetype : icon picture PDF | 0.93 MB | Free Download

 


picture Word Document Invoice Template 29355 | Orders Api User Guide
ORDERS API User Documentation Abstract User guide describing how to use Cedar Rose Orders API ORDERS API Table of Contents Document Change Log..........................................................Error! Bookmark not defined. Introduction..............................................................................................................................3 Restful Web Services............................................................................................................3 General RESTful Response Guide.........................................................................................3 Advantages..............................................................................................................................3 ...
Filetype : icon picture DOCX - Word | 0.14 MB | Free Download

 


picture Construction Pdf 84162 | Construction Management Plan Template Revised 2021
Construction Management Plan Template Planning Permit Number: ................................................ Date Planning Permit Issued: ..&hellip ...
Filetype : icon picture PDF | 0.78 MB | Free Download

 


picture Companies Act 2013 Pdf 161555 | 005 Allied Iii   Company Secretarial Practice   Iii Sem
STUDY MATERIAL FOR B.COM CORPORATE COMPANY SECRETARY PRACTICE SEMESTER - III, ACADEMIC YEAR 2020-21 UNIT CONTENT PAGE Nr I COMPANY SECRETARIAL PRACTICE 02 II FORMATION OF COMPANY 08 III ISSUE OF DEBENTURES 13 IV COMPANY MEETINGS 16 V WINDING ...
Filetype : icon picture PDF | 0.94 MB | Free Download

 


picture Thesis Proposal Sample Pdf 44397 | Personal Accident Insurance Policy Wording
HDFC ERGO General Insurance Company Limited Policy W ording PERSONAL ACCIDENT INSURANCE POLICY WHEREAS the Policyholder named in the Schedule has applied to HDFC ERGO 9. Renewal: This Policy is renewable for life unless the Insured Person or anyone General ...
Filetype : icon picture PDF | 1.01 MB | Free Download

 


picture Companies Act Pdf 161688 | Private Company Limited By Shares Regulations Form
THE REGISTRAR-GENERAL'S DEPARTMENT THE COMPANIES ACT, 1963 (ACT 179) A Copy of Regulations 8 to 82 in Part I of Table A in the Second Schedule to the Companies Act, 1963 (Act 179) REGULATIONS OF A PRIVATE COMPANY LIMITED ...
Filetype : icon picture PDF | 0.29 MB | Free Download

 


picture One Person Company Pdf 161777 | Guidancecompanyincorporationv31
Company Incorporation Guidance Notes                        Contents  Introduction ............................................................................................................................................... 4 Registration Authority Office ................................................................................................................ 4 The Registrar’s main functions under Companies and Commercial Licensing Regulations .................. 4 Opening Hours .......................................................................................................................................  ...
Filetype : icon picture PDF | 0.45 MB | Free Download

 


picture One Person Company Pdf 161882 | Private Company Limited By Shares 2
PRIVATE COMPANY LIMITED BY SHARES The Private Limited Company This is the most common form of incorporated company and is suitable for most commercial purposes. Private companies limited by shares constitute over 90% of all companies registered in the UK ...
Filetype : icon picture PDF | 0.12 MB | Free Download

 


picture Companies Act 2016 Pdf 162195 | Constitution Of The Company
THE COMPANIES ACT, 2016 MALAYSIA __________________ COMPANY LIMITED BY SHARES __________________ CONSTITUTION OF TOKIO MARINE LIFE INSURANCE MALAYSIA BHD (COMPANY NO. 457556-X) Incorporated on the 11th day of February, 1998. Company No. 457556-X THE COMPANIES ACT, 2016 __________________ COMPANY LIMITED ...
Filetype : icon picture PDF | 0.43 MB | Free Download

 


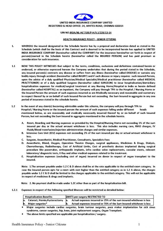
picture Thesis Proposal Sample Pdf 44475 | Senior Citizen Policy
UNITED INDIA INSURANCE COMPANY LIMITED REGISTERED & HEAD OFFICE: 24, WHITES ROAD, CHENNAI-600014 UIN NO.IRDA/NL-HLT/UII/P-H/V.I/228/13-14 HEALTH INSURANCE POLICY - SENIOR CITIZENS 1. WHEREAS the insured designated in the Schedule hereto has by a proposal and declaration dated ...
Filetype : icon picture PDF | 0.16 MB | Free Download

 


belum ada komentar
Please Login to post comment.

no reviews yet
Please Login to review.

Category: Standard Format / Pdf Format
Upload at: 22 Jan 2023 | 3 years ago
Tags: 0
views: 475x
Link recommended: filekonstruksi.com