jagomart
digital resources
picture 6 Determinants Ncert Pdf Files | Download Free Collection Files

6 Determinants Ncert Pdf Files | Download Free Collection Files


Posted on 08 Oct 2022 | 4 years ago
Download free determinants ncert pdf files.

.  490x 
 file set type 
Copy Link https://jagomart.net/item/124481/free-download-collection-files-determinants-ncert-pdf
List of 6 Determinants Ncert Pdf Files | Download Free Collection Files.
1. Determinants Ncert Pdf 121054 | Maths Notes For Class 12 Chapter Determinants
picture Determinants Ncert Pdf 121054 | Maths Notes For Class 12 Chapter  Determinants
1 | P a g e Mathematics Notes for Class 12 chapter 4. Determinants Determinant Every square matrix A is associated with a number, called its determinant and it is denoted by det (A) or |A| . Only square matrices have determinants. The matrices which are not square do not have determinants (i) First Order Determinant If A = [a], then det (A) = |A| = a (ii) Second Order Determinant |A| = a a – a a 11 22 21 ...
Filetype : icon picture PDF | 0.57 MB | Free Download

 


2. Determinants Ncert Pdf 121117 | Ncert Solutions For Class 12 Maths Chapter 4 Determinants Exercise 6
picture Determinants Ncert Pdf 121117 | Ncert Solutions For Class 12 Maths Chapter 4 Determinants Exercise 6
NCERT Solutions for Class 12 Maths Chapter 4 Determinants Exercise 4.6 Page No: 136 Examine the consistency of the system of equations in Exercises 1 to 6. 1. x +2y = 2: and 2x + 3y = 3 Solution: Given set of equations is : x +2y = 2: and 2x + 3y = 3 This set of equation can be written in the form of matrix as AX = B, where So, AX = B is Inverse of ...
Filetype : icon picture PDF | 0.21 MB | Free Download

 


picture Determinants Ncert Pdf 121855 | Holidayhomework 53116391059
HOLIDAY HOMEWORK CLASS-XII-SCIENCE Mathematics-Do NCERT questions of Matrix, Determinants, Relations and Functions Chemistry-Do NCERT exercise of Ch - Solution English 1. 'Every human being is an escapist at some or the other level craving for a refuge in some orthe other thing'. Justify this statement in the light of the chapter 'The Third Level' by Jack Finney and your own observation of life prevailing around. (Word limit 150-200) 2. Make a comic strip of the chapter ‘ The ...
Filetype : icon picture PDF | 0.51 MB | Free Download

 


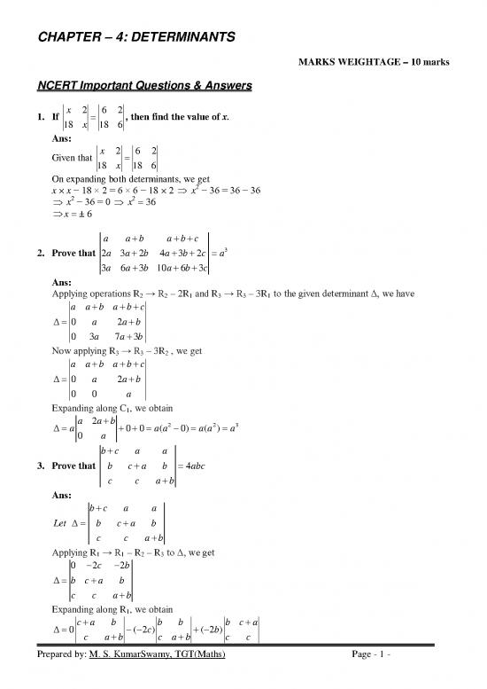
picture Determinants Ncert Pdf 121329 | Maths Notes Xii Determinants Ncert Important Qa
CHAPTER – 4: DETERMINANTS MARKS WEIGHTAGE – 10 marks NCERT Important Questions & Answers 1. If x 2 6 2 , then find the value of x. 18 x 18 6 Ans: Given that x 2 6 2 18 x 18 6 On expanding both determinants, we get 2 x × x − 18 × 2 = 6 × 6 − 18 × 2 x − 36 = 36 − 36 2 2 x − 36 = 0 x = ...
Filetype : icon picture PDF | 0.21 MB | Free Download

 


picture Determinants Ncert Pdf 118217 | Cbse Class 12 Commerce Books For Optional Subjects 025aa45b362a6
CBSE Class 12 Commerce Books for Mathematics Mathematics by NCERT:This book includes topics like relations and functions, matrices, determinants, inverse trigonometric functions, application of derivatives, integrals, application of integrals, differential equations, vector algebra, etc. The cost of the book is Rs. 160 Reference Books for Class 12 Mathematics Here is the list of reference books for the preparation of CBSE Class 12 Mathematics. Book Name Author Description Price Gupta- Dr. V.K. The salient features of this book are higher-order ...
Filetype : icon picture PDF | 0.08 MB | Free Download

 


picture Determinants Ncert Pdf 121031 | 1052 Books Doubtnut Question Bank
MATHS BOOKS NCERT MATHS (ENGLISH) DETERMINANTS Short Answer Type Questions 2 x −x+1 x−1 1. evaluate: x +1 x +1 Watch Video Solution a + x y z 2. evaluate: x a +y z x y a +z Watch Video Solution 2 2 0 xy xz 2 2 3. evaluate: x y 0 yz 2 2 x z zy 0 Watch Video Solution 3x −x+y −x+z 4. evaluate: x − y 3y z − y x ...
Filetype : icon picture PDF | 1.50 MB | Free Download

 


belum ada komentar
Please Login to post comment.

no reviews yet
Please Login to review.

Category: Standard Format / Pdf Format
Upload at: 08 Oct 2022 | 4 years ago
Tags: 0
views: 490x
Link recommended: filekonstruksi.com